[拼音]:zhunwen diancichang
[外文]:quasi-stationary electromagnetic field
当交变电流频率较低,使得相应于该频率的真空中电磁波波长比所考虑的线路的线度大得多时,在电路及其附近的区域,推迟效应可以忽略。这一区域中的电磁场就叫做准稳电磁场(或似稳电磁场)。
忽略推迟效应,也就是忽略波的传播,它相应于位移电波的效应可以略去的情况(与传导电流相比)。这就是准稳场的条件,但此条件也允许有局部的例外,这种局部的例外区就是电容区(如电容器内部)。在电容区内,位移电流不可忽略,但电场主要是库仑场,涡旋电场可以略去不计。
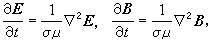
在均匀介质内部,当自由电荷体密度为零时,如采用国际单位制,准稳场满足扩散方程
(1)
其中
电场和磁场还满足无散条件墷·E=0和墷·B=0。此外,E和B还是互相耦合的
在真空或绝缘介质中,σ=0。因此场满足的方程(1)化为拉普拉斯方程
(2)
对于一定频率的场,
,这时扩散方程化为亥姆霍兹方程
(3)
其中k2=-iσμω为纯虚数。
由于导体中电磁波的波长比其在真空中波长小得多,因此在粗导线情况,导线的横向尺寸比起导体中电磁波波长不一定小,这时导线中的电流(以及电磁场)的分布将集中在表面附近,这就是趋肤效应。在趋肤效应显著的情况,导线内的电流和电磁场的分布将和稳恒情况有很大不同。稳恒时(ω=0),在导体内部也像在空气中一样满足拉普拉斯方程。
从亥姆霍兹方程解出圆柱形直导线上的电流分布为
(4)
其中J0和J1为零阶和一阶贝塞尔函数,r0为导线半径,I0为电流振幅(
),
(5)
δ代表电磁波在导体中的约化波长(波长除以2μ)。
当频率足够低,使得δ
r0成立时,式(4)可近似化为
, (6)
即电流是均匀分布的,这就相似于稳恒的情况。而当频率增高使δ
r0时,在r
δ处,式(4)近似化为
(7)
这样,当从表面向柱内深入,即r0-r增大时,jf的值基本以上指数下降。在深度为 δ的地方,jf的值就下降为表面值的1/e,因而δ又代表趋肤厚度。
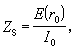
单位长度导线的表面阻抗ZS的定义为表面电场E(r0)与总电流I0的比
(8)
在δ
r0情况,
即为单位长度上的直流电阻。而在δ
r0时,
(9)
其电阻分量代表单位长度导线上的高频电阻,数值为
(10)
此式表明导线的有效横截面已从
降到2πr0δ。电感分量为
(11)
它代表高频时单位长度导线的内电感,其值比稳恒时的值
小。
同样,由于高频电流分布与直流的不同,线圈的高频电感(包括外电感)和高频电阻亦将与直流的值不一样。高频电阻和高频电感也可以通过焦耳热和磁能来计算
(12)
后一积分的区域为全空间。
在准稳情况,一个电路上的总电流I可用集中参数的电路方程来确定(见电路),但在频率较高使得导线横向尺寸大于或相当于电磁波在导体中的趋肤厚度时,电路的电感和电阻要采用相应频率时的值。
非定频的扩散方程(1)在实际中亦有应用。如磁场的扩散在许多领域中都是一个重要效应。η=1/σ μ称为扩散率,σ μ 愈大,扩散就愈慢。由于这种扩散效应,导体中若原有磁场,则该磁场将随时间而衰减。对于实验室中的导体,扩散时间τ一般较小,铜是电导率很大的导体,可是对1厘米半径的铜球,τ也只有10-2秒。但若导体大小达到天体的线度时,则τ可以达到很大的值。例如太阳中的磁场,τ可达1010年。