[拼音]:Haimuhuozi fangcheng
[外文]:Helmholtz equation
在数学上具有(墷2+k2)ψ =f形式的双曲型偏微分方程。式中墷2为拉普拉斯算子,在直角坐标系中为
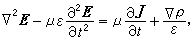
;ψ为待求函数;k2为常数;f为源函数。当f等于零时称为齐次亥姆霍兹方程;f不等于零时称为非齐次亥姆霍兹方程。在电磁学中,当函数随时间作简谐变动时,波动方程化为亥姆霍兹方程。例如,在均匀各向同性媒质中,电场和磁场强度满足下述波动方程
(1)
。 (2)
当一个函数F(x,y,z,t)随时间作简谐变动时,可以表成F(x,y,z)ejwt的形式,这时д/дt相当于jω,д2/дt2相当于-ω2,代入式(1)、(2),并利用电荷与电流之间的连续方程墷·J=-дρ/дt,可得
(3)
, (4)
式中k=ω(με)┩,称为波数。
在场强的非齐次亥姆霍兹方程中,右边的源函数比较复杂。若换用电磁势,源函数可得到简化。洛伦兹规范下,简谐变化的A和嗞满足下述非齐次亥姆霍兹方程
(5)
(6)
在没有源的区域,式(5)、(6)变为齐次亥姆霍兹方程
(7)
(8)
若此区域是有界的,例如在波导中,则因边界条件的限制,方程的解可以用离散的本征模式的线性组合来表示。每一模式的系数取决于源函数和待定函数的边值(见电磁场的边值问题)。