[拼音]:jiaoti zhidian de daxiao he xingzhuang
[外文]:size and shape of colloidal particles
胶体质点尺寸定义在10-6~10-9米范围内, 而形状却是多种多样。只有经过特别处理,才会有大小和形状相同的单分散溶胶或乳胶。一般情况下,胶体质点大小分布较宽,即具有多分散性。
胶体质点的形状用直径这样的单一参数,足以描述球形胶体质点的形状,但描述不规则几何外形的质点时有困难。因此,常倾向于将不规则的物体变成某种容易想象的形状(如球形或立方体),并继续用“直径”一词来表征。平均直径指用特殊方法表示一种全质点性质的一个假想质点的直径。这种直径不具有规则几何形状的意义。在计算时,可得到几种不同数值,与它们在总质点中的相对重要性、某个线性量纲、表面积、容积及重量等有关。在实际应用时,必须指明是哪一种直径(表1)。
将不规则胶体质点视作旋转椭球体,这在讨论粘度和沉降作用时,有助于接近问题的本质。围绕长轴旋转者叫扁长旋转椭球体,围绕短轴旋转者叫扁平旋转椭球体(图1)。
当a=b时,为球;a>b, 是扁长旋转椭球体;a<b, 是扁平旋转椭球体;a》b, 为棒;a《b,为板。a/b是椭球体的轴比,常用来量度一个质点同球形度的偏差。用双参数表征不规则质点,要比单参数为好,特别是在多分散体系中更是如此。
胶体质点大小的分布
用显微镜或电子显微镜读取大量胶体质点的尺寸后,若以某尺寸di与所重复遇到的次数ni(或叫频率)作图,可得长方形频数图或光滑曲线(图2)。大多数胶体质点的大小分布是不对称的,逐渐向着较大直径方向倾斜,这种分布称为“右歪斜”,以区别于“左歪斜”分布(图3)。若将小于某一尺寸的所有质点加和起来,并对直径作图,则得累积频率曲线(图4)。
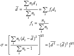
按图2所示,胶体质点大小可以简洁地用数均直径廀和标准偏差σ表示。其他平均直径和标准偏差类推:
表2列出量度疏液胶体质点大小的方法,原则上适用于无规线团模型的亲液胶体(如果将每个线团视为一个质点的话)。在相同条件下,同种样品的分子量决定其无规线团的大小。亲液胶体的分子量有单分散与多分散之别,后者更为常见,也可用长方形频率图或累积频率曲线表示(图5)。
表3中的四种平均分子量,都是通过分子数ni、分子量Μi以及其加和值求得的。因此,同一个亲液胶体,用不同的统计平均,可得到不同的平均分子量数值。多分散性大者,则各种平均分子量相差也大。其顺序是
。显然,单分散性时,四者相等。表4列出常用的几种平均分子量测定方法及其适用范围。表中未列入尚未处于实用阶段的电子显微镜法、红外分光光度计法和脉冲核磁共振仪法。