[拼音]:dianjiezhipu
[外文]:dielectric spectroscopy
当施加于电介质的电场是时间的函数时,电介质的介电常数是与频率有关的。电介质谱就是研究介电常数的频率响应。其频带很宽,分为超低频、低频、射频、微波和红外谱等。电介质谱还与物质的微观结构有关,随着微观结构的差异而有不同的特征形式。如在位移型或某些有序-无序型软模体系中,频谱响应具有共振的特征,但在另一些有序-无序体系(如TGS、NaNO2铁电体)中具有弛豫特征。共振型软模(铁电)体系的特征是色散频率处于远红外区,因而不能用通常的电介质测量进行研究;具有弛豫型(铁电)体系的特征色散频率处于微波或射频区域,这时电介质测量就成为研究序参量动力学的最好方法。在弛豫体系中的电介质色散或吸收谱,与在共振型软模体系中的喇曼谱及非弹性中子散射谱起到类似的作用。由电介质谱可得到弛豫时间及其与温度和压力的关系,通过它们在了解相变机制上,能得到很重要的信息。
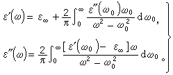
在随时间变化的电场作用下的介电常数ε为复数,ε(ω)=ε′-jε″,式中ε′和ε″分别为
(1)
上面两式称为克喇末-克朗尼格色散关系。式中ε→∞为频率远高于共振频率或红外频率时的介电常数,ωo为特征振动频率。式中的ε″(ω)=ε′(ω)tgδ代表介质的能量损失,tgδ称为损耗角正切或介电损耗因子。
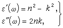
在随时间变化的电场作用下,电介质的折射率也是复数,
。介电常数与折射率间有下列关系
(2)
k称为吸收系数k=n″/n′。在红外及光谱的解谱工作中,经常使用(1)、(2)两组公式。
上面所说的共振和弛豫体系的差别在于前者与位移极化有关,后者与取向极化有关。共振型体系的描述采用振子模型。弛豫型体系的描述最早提出的是德拜驰豫模型。后来发现德拜模型用于固体中(包括高分子聚合物)与实验偏离很大,提出了德拜模型的修正和其他模型。为了修正德拜弛豫模型,提出了经验的弛豫函数,但这些函数或方程的缺点是缺乏清楚的物理概念,只是数学上修正德拜弛豫公式使与实验一致。在新模型中有缺陷扩散与涨落模型、多体弛豫模型等。其中以近年来发展起来的多体弛豫模型,在电介质谱的研究中取得了很大的进展。
- 参考书目
- R.Blinc and B.Zeks,Soft Mode in Ferroelectricsand Antiferroelectrics, North-Holland, Amsterdan,Oxford,1974.
- C.J. F. Botlcher and P.Bordewijk, Theory ofElectric Polarizαtion,2nd ed.,Elsevier,Amsterdam,Oxford, New York, 1978.