[拼音]:celüe diedaifa
[外文]:policy iteration method
动态规划中求最优策略的基本方法之一。它借助于动态规划基本方程,交替使用“求值计算”和“策略改进”两个步骤,求出逐次改进的、最终达到或收敛于最优策略的策略序列。
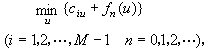
例如,在最短路径问题中,设给定M个点1,2,…,M。点M是目的点,сij>0是点i到点j的距离i≠j,сij=0,i,j=1,2,…,M,要求出点i到点M的最短路。记ƒ(i)为从i到M的最短路长度。此问题的动态规划基本方程为
(1)
其策略迭代法的程序如下:选定一初始策略u0(i),在这问题中,策略u(i)的意义是从点i出发走一步后到达的点,而且作为策略,它是集{1,2,…,M-1}上的函数。由u0(i)解下列方程组求出相应的值函数ƒ0(i):
再由ƒ0(i)求改进的一次迭代策略u1(i),使它是下列最小值问题的解:
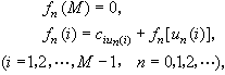
然后,再如前面一样,由u1(i)求出相应的值函数ƒ1(i),并由ƒ1(i)求得改进的二次迭代策略u2(i),如此继续下去。 可见求解(1)的策略迭代法的程序由下列两个基本步骤组成:
(1)求值计算 由策略 un(i)求相应的值函数ƒn(i),即求下列方程的解:
(2)策略改进 由值函数ƒn(i)求改进的策略,即求下列最小值问题的解:
式中规定,如un(i)是上一问题的解,则取un+1(i)=un(i)。
在一定条件下,由任选的初始策略出发,轮换进行这两个步骤, 经有限步N后将得出对所有i,uN+1(i)=uN(i)这样求得的uN(i)就是最优策略,相应的值函数ƒN(i)。是方程(1)的解。
对于更一般形式的动态规划基本方程
(2)
这里ƒ,H,φ为给定实函数。上述两个步骤变成:
(1)求值计算 由策略un(x)求相应的值函数 ƒn(x),即求方程
之解,n=0,1,2…。
(2)策略改进 由值函数ƒn(x)求改进的策略un+1(x),即求最优值问题
的解。
对于满足适当条件的方程(2)和初始策略,上述两个步骤的解存在,并且在一定条件下,当n→
时,所得序列{ƒn(x)}与{un(x)}在某种意义下分别收敛于(2)的解和最优策略。
策略迭代法最初是由R.贝尔曼提出的。1960年,R.A.霍华德对于一种马尔可夫决策过程模型,提出了适用的策略迭代法,给出了相应的收敛性证明。后来,发现策略迭代法和牛顿迭代法在一定条件下的等价性,于是,从算子方程的牛顿逼近法的角度去研究策略迭代法,得到了发展。
对于范围很广的一类马尔可夫决策过程,其动态规划基本方程可以写成
;式中ƒ∈V,对所有 γ∈Γ:r(γ)∈V,γ为 V→V的线性算子,Γ为这种算子的族,而V 则是由指标值函数所构造的函数空间。假设
当 ƒ(γ)是方程 r(γ)+γƒ=0 的解时, 它是对应于策略γ的指标值函数。最优策略 γ
定义为最优值问题
的解。这时由策略迭代法所求得的序列 {ƒn}和{γn}满足下列关系
其中
为 γn+1的逆算子。当σ是加托可微时, γn+1是σ在ƒn处的加托导数。于是,上面的关系恰好表达了牛顿迭代法在算子方程中的推广。