界面缩聚

两种单体分别溶解在水及与水不相混溶的有机溶剂中,在常温常压下,在水和有机溶剂的界面进行缩聚反应的方法。它可使许多在高温下不稳定因而不能采用熔融缩聚方法的单体顺利地进行缩聚反应,由此扩大了缩聚单体的范围。界面缩聚的设备比较简单,反应进行迅速,又比较容易得到高分子量聚合物。它适用于合成聚酰胺、聚芳酯、聚碳酸酯、聚亚胺酯等,工业产品聚碳酸酯和Nomex纤维就是用此法生产的。

界面缩聚反应以有机化学中经典的肖顿-鲍曼反应为依据,以酰氯与羟基、胺基、亚胺基或巯基在酸接受剂的存在下进行缩聚反应,以聚酰胺为例:

公式 符号

反应在两个不相混溶的液相界面进行,其中一相为水,水相含二胺或二醇和碱;另一相为二酰氯的溶液,溶剂通常为四氯化碳、二氯乙烷二甲苯、己烷等。缩聚反应在界面或接近界面处进行,在几分钟内即可完成。界面缩聚反应一般可在不搅拌和搅拌两种情况下进行。

不搅拌的界面缩聚

如果在反应时不进行搅拌,生成的聚合物在有机相中也不溶,就会在界面形成薄膜。在适宜条件下,可以形成分子量较高和具有相当强度的聚合物。如果将膜由界面拉出,可以连续不断地生成聚合物,直至反应单体全部用完为止(见图,见彩图)。脂族聚酰胺最易连续成膜,还可以进行单孔或多孔纺丝。

图 图 界面缩聚反应(己二胺与癸二酰氯生成聚酰胺) 搅拌界面缩聚

在反应时进行搅拌,可得到高产率的粉末状或颗粒状产物,易于分离、洗涤、干燥。一般将二酰氯的有机溶液滴入水相。如果聚合物能溶于有机相中,则反应较易进行;如不能溶,则要求很剧烈的搅拌,使两相能透过已形成的高分子的间隙互相接触。有时也可使用乳化剂,使油层分散。聚合物在有机溶剂中能溶解时,可以通过蒸去溶剂或加沉淀剂的办法将它分离出来。乳液的破坏可以通过蒸馏、加水溶性的有机溶剂或加盐类的方法,聚合物应洗到不含盐、乳化剂和未反应的单体为止。搅拌缩聚的产率可达75%~100%。

界面缩聚的产物

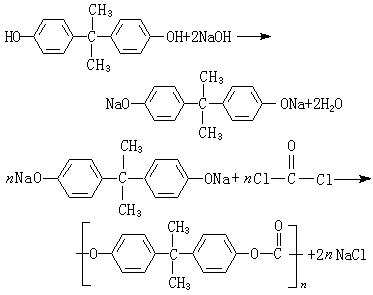
第一个用界面缩聚方法进行工业生产的聚合物是聚碳酸酯。它是在搅拌下将光气通入惰性溶剂(如CH2Cl2)与双酚 A的氢氧化钠水溶液中进行反应;也可以将光气溶于溶剂中,再滴入双酚A的氢氧化钠水溶液中。反应过程中可以加入催化剂。由于反应是在界面上进行的, 必须强烈搅拌, 使两相有更多的接触,以加速反应的进行。反应完毕,破乳分层除去水相,用水洗涤有机相除去溶剂,便得到细粉状聚碳酸酯,其反应如下:

公式 符号 影响界面缩聚的因素

主要有溶剂的性质和纯度、单体浓度和摩尔比、反应温度、乳化剂的类型和用量等。其中乳化剂的选择尤其要注意,聚芳酯宜用阳离子型乳化剂;聚酰胺则宜用阴离子型乳化剂。