[拼音]:Fuliyehe
[外文]:Fourier Sums
傅里叶级数的部分和的简称。设
是函数ƒ(x)的傅里叶级数,此级数的前n+1项的和
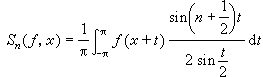
叫做 ƒ(x)的 n阶傅里叶和,它有积分表达式:
。
常称
为狄利克雷核,
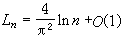
为勒贝格常数。L. 费耶尔证明
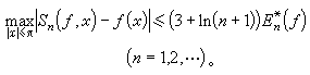
。实用上还有不等式ln<2+ln(n+1)。将Sn(ƒ,x)作为从周期2π的连续函数空间C2π到阶不超过n的三角多项式所组成的子空间Tn的算子来看,它是一个线性算子,其范数为ln。虽然不能期望对任何ƒ(x∈C2π ,Sn(ƒ,x) 都一致收敛于ƒ(x),但用Sn(ƒ,x)来逼近ƒ(x)却有不等式:
这里E奱(ƒ)是阶不超过n的三角多项式对ƒ的最佳逼近值。而且有绝对常数с使得
。
费耶尔和
傅里叶和的算术平均
称作费耶尔和,它是空间C2π到子空间Tn的正线性算子,具有积分表达式
,
而且范数为1。对于任何ƒ∈C2π,n→∞时σn(ƒ,x)都一致收敛到ƒ(x),而且有绝对常数с使得
这里w(ƒ,δ)是ƒ的连续模,但不能期望有太好的逼近度,因为满足条件
的函数必然是个常数,但是有,
。
瓦莱-普桑和
常称
为函数ƒ(x)的 n阶瓦莱-普桑和。瓦莱-普桑和是空间C2π到子空间T2n-1的一个线性算子,这个算子的范数不超过3,而且对于任何t∈Tn,都有
,如果对g∈C2π,记
,那么用τn(ƒ)逼近ƒ时有如下的不等式
。
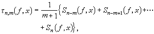
作为瓦莱-普桑和的直接推广是
这里m是不超过n的非负整数。τn,m也是从C2π到Tn的线性算子,有积分表达式
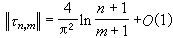
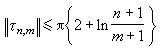
其范数
。
对于t∈Tn-m,有τn,m(t)=t。实用上还有不等式
,
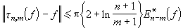
而用τn,m(ƒ)逼近函数ƒ∈C2π时,有
。