[拼音]:Hezi shiliang
[外文]:Hertz vector
描述电磁场的矢量函数。由于对电磁势(A,嗞)可以加上一定的限制条件,因此嗞以及A的三个分量这四个量当中只有三个量是独立的。所以,原则上说可以用一个矢量函数去描述电磁场。H.R.赫兹于1888年找到了这种矢量函数,后来A.里纪在1901年又对此作了全面阐述。
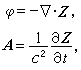
对任一给定的电磁场,可以引入一个矢量Z,将洛伦兹规范下的电磁势(A,嗞)表示为
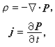
Z即称为赫兹矢量。另外,也可以引入一个矢量P将电荷与电流表示为
这时,电荷守恒定律自然满足。电磁势所满足的方程可以合并为一个方程
它的解为
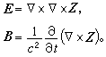
Z求得后,即可由此得出源点以外空间各点的电磁场
在研究偶极振子的辐射时,相应的P即为偶极振子的电偶极矩矢量。
在没有自由电荷和传导电流的空间,也可引入矢量A*和标量嗞*,使之满足下列关系
这时经常引入磁型赫兹矢量Z*,把(A*,嗞*)表示为
Z 和Z*在研究波导管中本征波时是有用的。