[拼音]:dixiashui jisuan
[外文]:groundwater computations
主要计算地下水的补给量、储存量、排泄量、含水层中污染物的运移、地下水水位和各种参数,为地下水资源评价和管理、地下水污染预测和排水等提供依据。
补给量计算主要计算:
(1)降水入渗补给量,是潜水分布区的主要补给量。通常用降水量、降水入渗补给系数和计算区面积相乘求得。
(2)灌溉水入渗补给量,用灌溉季节的灌溉定额、灌溉水入渗补给系数和计算区面积相乘求得。
(3)地表水入渗补给量,指河、渠、湖、塘等地表水体中的水对地下水的补给量。河、渠对地下水的补给量可用开采区段河渠上下游断面实测的流量之差估算。湖、塘水对地下水的补给量可用水量平衡公式大致计算。两者也可根据不同的具体条件,用地下水动力学公式进行计算。
(4)越流补给量,根据相邻含水层之间弱透水层的水力坡度和垂向渗透系数,用达西定律计算开采状态下的越流补给量。
(5)地下水流入量,这是从上游边界流进水源地含水层的地下径流量,一般按达西定律计算。
储存量计算主要有:
(1)容积储存量,指含水层空隙所储存的重力水体积。由含水层体积与给水度相乘求得。对潜水和承压水都适用。
(2)弹性储存量,指承压水面降到含水层顶板时承压含水层中弹性释放出来的水量。由释水系数、承压水头高度和承压含水层计算面积相乘求得。
排泄量计算主要计算:
(1)开采量。常用的公式有:裘布衣(单井稳定流)公式,即
潜水时 
承压水时 
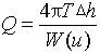
泰斯(单井非稳定流)公式,即
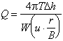
M.S.汉图什和C.E.雅各布越流情况下的单井非稳定流公式,即
式中 Q为单井开采量 (米3/日);K为含水层渗透系数(米/日);δp为抽水前潜水含水层的厚度(米);δ为承压水含水层厚度(米);Δh为抽水井或观测井的水位降深,即抽水前的水位和抽水时水位的差值(米);R为抽水井影响半径(米);r为抽水井井孔半径或计算点与抽水井的距离(米);T为含水层导水系数(米2/日);W(u)为泰斯井函数;
为越流井函数。群井抽水时,可根据相应条件下的单井公式,按叠加原理计算。此外,地下水水量平衡方程式也是计算开采量的重要公式。
(2)潜水蒸发量。见潜水蒸发。
(3)越流排泄量。计算方法和越流补给量相同。
(4)地下水流出量。计算方法和地下水流入量相同。
水位计算前述计算开采量的公式,都可用来计算地下水水位。当开采量Q已知时,可算出水位降深Δh值。开采前的水位减去水位降深,即为开采时的水位。
地下水污染计算根据地下水水质数学模型计算。
参数计算主要有:
(1)渗透系数。主要根据稳定流或非稳定流抽水试验所得到的水位(或降深)和流量资料,利用裘布衣公式、泰斯公式等求出。
(2)导水系数。用渗透系数乘以含水层厚度即得。
(3)给水度。确定方法见给水度。
(4)释水系数。是表示承压水含水层释水能力的数量指标,也称贮水系数或弹性给水度。其值为单位面积的承压水含水层,当承压水面下降一个单位长度时所能释出的水量(如图)。但是承压含水层的释水原因与潜水含水层的给水原因不同,前者不是由于重力而是由于水头降低造成的含水层的压缩和水的弹性膨胀,故称弹性释水。弹性释水是瞬时完成的,没有时间迟后。它的确定方法主要用非稳定流抽水试验资料,根据泰斯公式用配线法或图解等方法求出。
20世纪60年代中期以来,地下水计算的方法和手段有较大的进展,电子计算机得到广泛的应用,除了解析法外,有限差分法、有限单元法、边界积分法等越来越多地进入地下水计算领域,解决了许多复杂条件下的地下水计算问题,成为行之有效的计算方法。