[拼音]:jifenfa
[外文]:integration
求积分的方法;大多指求不定积分(或原函数)。按照不定积分的定义,每一个微分式dF(x)=ƒ(x)dx都对应着一个积分式:
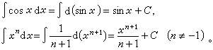
积分法在这里是运用微分运算的基本法则及基本公式把积分号下的微分式改变形式,成为一个原函数的微分。例如
通常将被积分的初等函数ƒ(x)按其结构形式,分成若干类型(基本初等函数的简单变形,有理分式,三角函数的有理式,一些根式等)来说明相应的计算过程。当原函数不是初等函数因而不能表示成基本初等函数的有限的分析表达式时,便说积分“积不出来”。例如积分
都“积不出来”。但可以认为这些积分式本身定义了新的超越函数。
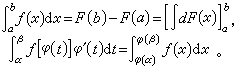
按照微积分学基本定理,定积分的计算,归结到求不定积分,带上相应的积分限,例如
在相应的不定积分“积不出来”或者即使积出来也不便计算其数值的情形,就选用适当的近似计算法(见积分学)。