[拼音]:Niudun
[外文]:Isaac Newton (1642~1727)
伟大的英国数学家、物理学家、天文学家和自然哲学家。1642年12月25日(格里历1643年1月4日)生于英格兰林肯郡格兰瑟姆附近的伍尔索普村,1727年3月20日(格里历 3月31日)在伦敦病逝。1661年入英国剑桥大学三一学院。在校时受教于i.巴罗,同时钻研伽利略、J.开普勒、r.笛卡儿和j.沃利斯等人的科学著作,其中笛卡儿的《几何学》与沃利斯的《无穷算术》(1656)对牛顿数学思想的形成影响尤深。1665年,获文学士学位。随后两年在家乡躲避瘟疫。这两年里,他制定了一生大多数重要科学创造的蓝图。1667年回剑桥后当选为三一学院院委,次年获硕士学位。1669年,继巴罗任卢卡斯教授,一直到1701年。1696年任皇家造币厂监督,并移居伦敦。1703年,任英国皇家学会会长。1705年,受女王安娜封爵。他晚年潜心于自然哲学与神学。
牛顿在数学上最卓越的贡献是微积分的创建。17世纪早期数学家们已经建立起一系列求解无限小问题(诸如求曲线的切线、曲率、极大极小值,求运动的瞬时速度以及面积、体积、曲线长度、物体重心的计算等)的特殊方法。他超越前人的功绩在于:将这些特殊的技巧统一为一般的算法,特别是确立了微分与积分这两类运算的互逆关系(微积分基本定理)。
据牛顿自述,他于1665年11月发明正流数(微分)术,次年5月创反流数(积分)术,但当时他只是以手稿形式在朋友中传播自己的发现。1669年,牛顿写成第一篇微积分论文《运用无穷多项方程的分析》交皇家学会备案(1711年出版)。他在该文中称变量的无限小增量为瞬(moment),以此为基础求瞬时变化率,并反用于求积,但没有采用流数形式。流数方法的系统叙述是在《流数术与无穷级数》一书中给出的,该书完成于1671年,出版于1736年。
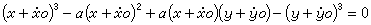
“流数术”的名称,反映了这一理论的力学背景。流数 (fluxion)被定义为可借运动描述的连续量─流量(fluent,用x、y、z表示)的变化率(速度),并用在字母上加点来表示,如凧,夻,妰,…。在《流数术》中,牛顿表述流数术的基本问题为:已知流量间的关系,求它们的流数的关系,以及逆运算。牛顿继续使用无限小瞬作为流数计算的基础。这样,记时间的瞬为O,它所引起的流量的瞬为凧O,夻O,…,他在具体计算中指出那些含O的项可被看作零而略去。典型的例子是:已知方程x3-
,分别以
代x、y:
展开左端各项并消去
,两边通除以O,然后略去含O的项,即得流数关系:
。
1676年,牛顿又写成他的第 3篇重要的微积分论文《曲线求积术》(后来作为《光学》一书的附录发表于1704年),其中试图放弃无限小瞬的概念而转向极限的观点,即他所谓的“首末比方法”。如求xn的流数,他令x变为x+O,xn变为(x+O)n,并构成两变化之比:
然后让O趋于零,结果得 1/nxn-1,他称之为“最后比”,实质上就是变化率的极限。
无穷级数是牛顿微积分的基本工具。牛顿早在1664年冬已将二项定理推广到有理指数情形,并于1676年6月致皇家学会秘书H.奥尔登堡的信中首次公布了这一发现。他同时获得了三角函数、对数函数等的级数展开。
1687年,牛顿在E.哈雷的敦促和帮助下发表了巨著《自然哲学的数学原理》(以下简称《原理》)。《原理》从作为力学基础的定义和公理(运动定律)出发,将整个力学建立在严谨的数学演绎基础之上。就数学本身而言,《原理》不仅深入地运用了牛顿本人创造的分析工具,而且也是牛顿微积分学说的第一次正式公布(前述三篇论文虽写作在先,却发表在后)。书中,卷1第1章11条引理陈述了首末比方法,卷2第2章则包含了无穷小增量和流数方法。他在《原理》中对微积分基础坚持给出不同的解释,说明了他对微积分基础所含困难的洞察和谨慎态度。但《原理》中对微积分命题的叙述和论证采用了几何的形式,这成为牛顿微积分学说的一个弱点,而后来固守牛顿的方法和记号,在18世纪阻碍了英国数学的发展。
牛顿另一部著作《广义算术》(1707)包含了他在代数学领域的一系列重要发现,如n 次代数方程根的m 次幂和的著名公式、实系数方程虚根成对的证明等。以牛顿的名字命名的代数方程数值求根法则则出现在他的著作《流数术》中。除微积分和代数外,牛顿在数学上的贡献还涉及数论、解析几何、曲线分类、变分法乃至概率论等众多的分支。
- 参考书目
- D.T.Whiteside,The MatheMatical pɑpers of Isaac Newton,Vol.1~8, Cambridge Univ.Press, Cambridge,1967~1981.
- R.Westfall,Never at Rest-A Biography of Isaac Newton,Cambridge Univ. Press, Cambridge,1980.