海洋声学

研究声波在海洋中传播的规律和利用声波探测海洋的科学。它是海洋学和声学的边缘学科

海洋声学的基本内容包括三方面:

(1)声在海洋中的传播规律和海洋条件对声传播的影响,主要包括不同水文条件和底质条件下的声波传播规律,海底对声波传播的影响,海水对声的吸收,声波的起伏,散射和海洋噪声等问题。

(2)利用声波探测海洋。

(3)海洋声学技术和仪器。

海洋中声的传播和声速的分布

声波能在海洋中远距离传播,但在传播的过程中,海水的温度分布和盐度分布(见海水盐度)、海面和海底的状况、海水的运动、海中包含的各种不均匀体如气泡和生物等,都能产生很大的影响(见海洋中的声速)。

海水由于受太阳辐射加热和风力搅拌等的影响,其温度的垂直分布一般呈分层结构(见海洋层结)。就大洋来说,由海面向下,可依次分为表面混合层(见海洋混合)、季节跃层、主跃层和深水等温层。加上压力的影响,使海洋中的声速呈垂直分布(图1)。从声速最低的地方发射的声波,由于上下层的声速不同而发生折射,描写声波传播途径的声线,总是弯向声速最低的地方。大部分声波在海水中经过这样的往复弯曲折射,而不与海面和海底接触,故能量损失很小,这种现象称为声道现象。声速最低的地方称为声道轴(见大洋声道)。低频声波在声道中能传播到很远的地方,例如1千克TNT炸药的爆炸声,能在声道中传播达1万公里以上,故可以利用声道的这种特性传送失事的飞机和船只的呼救信号,监测水下的地震、火山爆发和海啸等。在声道中,若声源和接收器不在声道轴附近,而距海面较近时,接收器离开声源沿水平方向移动,每隔一定距离便出现声强较高的区域,称会聚区。它是声道中自声源辐射出的许多相邻声线在海面下反转点相交的包络区(图2)。大洋中的声能会聚区大致每隔30~40海里出现一次,其强度逐次减弱。

图1 图2 图3

风浪的搅拌,使表层海水形成等温层。其中的静压力,使声速随深度的增加而略有增加。等温层内自声源出发的声线总是弯曲向上,经海面反射而向前传播,也可以传播到较远的地方,称为表面声道(图3)。

在无风浪搅拌的条件下,表层海水经日光照晒,往往出现上层的温度和声速都比下层高的情况,使声速呈负梯度的垂直分布。在这种情况下,声波传播的曲线,总是弯曲向下,在声能达不到的地方产生声影区。由图3可见声波几乎传不到表层。另外,如果海比较浅,则声线会碰到海底。由于海底的反射损失大,声能衰减很大,因此不能传播得很远。

海底对声波传播的影响很大。声在浅海中的传播特征的重要因素是海底的反射本领。因为海底沉积物的密度和声速一般都随深度而增加的缘故。沉积物中的声速和声吸收系数,与其颗粒度和孔隙率有关。沉积物对声的吸收,还随声波频率的增加而增加。海底对声波的反射损失,与海底物质的密度、声速和声波的入射角有关。一般说来,海底的密度愈大,声速愈高,反射损失愈小;声波频率愈高,海底的反射损失愈大(见海底声学特性)(图4)。

图4 海水对声的吸收、散射和反射

声波在海水中传播时,由于介质的热传导和粘滞性,使部分声能被吸收而转化为热能。在声波作用下,水分子的结构有从比较松散变得比较紧密的弛豫过程,使海水对声的吸收量增加。海水中硫酸镁的离子的弛豫过程,对几千赫到几十万赫的声波有很大的吸收作用。硼酸盐分子的弛豫过程,对1 千赫附近的低频声波的吸收有决定性的作用。对频率更低的声波而言,其声能的衰减是由于湍流引起的声散射所造成的(见海水声吸收)。

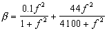
海水使声波在传播过程中衰减的效应,可用声衰减系数β(分贝/千米)来表示,常用的公式有:

(1)马什-舒尔金公式(1962)

式中A=2.34×10-9B=3.38×10-6T为温度(开);f为声波频率(千赫);S为盐度;p是静压力(大气压);fT为与温度有关的弛豫频率(千赫)

(2)索普公式(1967)

式中β的单位为分贝/千码(1码等于91.44厘米),f的单位为千赫。

海中的气泡、海洋生物和悬浮体,都会散射和反射声波。散射或反射系数与物体的大小、介质和结构有关。不同的物体有不同的散射频率响应。海中存在由生物体构成的、能强烈散射声波的深海散射层,它们遍布各大洋,往往分成几层,其深度随昼夜和季节不同而变化,这反映了生物的趋光性。海底底质的不均匀和不平整,也会增加声波的散射。

声波受波动海面的反射,或者穿过温度呈微观不均匀的水团时,其信号强度和相位都会发生起伏。海洋内波对声的传播影响很大,会引起声波大幅度的缓慢起伏。

海洋噪声

由于海面波浪、涡流、海洋生物发声,水下火山爆发或地震,海水分子的热运动和航船来往等原因,使海洋中存在噪声(见海洋环境噪声)。它是声呐的一种强干扰。

利用声波探测海洋

利用海洋水文要素对声传播的影响,可以反推海洋的特性,这是海洋声学的重要课题。海水中的温度、盐度、压力和流速,都影响着海水中的声速。声波在海流中传播时,顺流则声速增加,逆流则反之。利用这种现象,在两定点之间相对发出声信号,测量声波到达的时间差,就可以求得海水的流速。在若干点之间进行这种测量,可以监视海洋中的中尺度涡等现象,这是声学遥测的重要方法,称为海洋声学层析术。水中的悬浮体,随着水流而运动,故应用声学技术观察这种散射体的运动,就可以了解海水的运动情况(见海洋声学技术)。利用这种方法,还可以观察内波的规律,了解沉积物的搬运情况,也可以测量海水的流速。此外,利用声波起伏规律来研究内波谱的方法,已很受重视;利用深海散射层的散射频率响应,可以进行深海生物的区系划分,其结果和一般的区系划分一致;利用鱼类对声波的散射和反射,可以探测鱼群和了解鱼类资源的分布。

由波浪产生的 500~5000赫的噪声,与海面的风级和海况有关。利用此频率的噪声,可以监测海面的风级和海况。利用海啸产生的水下噪声,可以预报海啸。海洋生物发出的声音,与其种类和生活状态有关。监听这种声音的特征以区分生物的种类,可以掌握其生活规律,为研究渔业资源提供信息。此外,有可能利用声信号控制海洋生物的活动,以满足人类的需要(见海洋生物发声)。

海底声学勘探

海洋开发中,声技术是勘探海底唯一有效的手段,广泛应用的地震勘探仪便是声技术应用的一例。海底的界面不平整,底质内部的颗粒大小不一,以及分层和水平方向的不均匀性,都影响着声波的散射和反射。使用高频窄水平波束的测扫声呐,可以得出海底凸出部分对声波的强烈散射和凹下部分的声阴影区所构成的地貌声图。

海底沉积物一般都是分层的。因各层的声学特性不同,故可以利用声学方法测定海底沉积物的分层情况和各层中的声速。常用的方法有折射法和反射法,对于较浅的沉积层,也可以用浅地层剖面仪进行测量。利用声学遥感技术对海底的底质进行分类的工作,已得到迅速发展。

海洋调查和开发中的声学技术

包括测量技术、信息传递和控制技术。它与最新的微电子学、微计算机和换能技术结合,广泛用于水文、地质、地貌和生物等领域的测量,并用于水下定位、导航、通信、遥控、遥测等各方面,在海洋调查和海洋开发中起着重要的作用。

简史和展望

1826年,瑞士物理学家J.D.科拉东和法国数学家J.C.F.斯图谟在日内瓦湖测量声在水中传播的速度,开始了现代水声学的研究。1911年,有人用炸药筒作声源,进行了最初的水下回声测探实验,并记录到海底的回声。1912年,美国科学家R.A.费森登设计并制造的一种新型动圈换能器,是第一台水下发信和回声测探设备。

第一次世界大战中,由于潜艇在水下作战的需要而研制出声呐,从而发展了声波在海洋中传播的理论。在不同海区、不同季节和昼夜使用声呐时,发现声呐的作用距离与海洋水文要素、波浪、海流、内波、海底地质地貌、海洋环境噪声和海中浮游生物等有密切关系。因此,50年代以后,逐渐形成了研究声波在海洋中传播的规律和利用声波的研究探测海洋的新的学科分支──海洋声学。

从此之后,声波广泛应用于探测海底沉积物和地层结构,海底的地形地貌,海水的流动,海水的温度和流速的不均匀性,海水中各种物体如鱼群、深海散射层、冰山和沉船,海面的波浪和水下的内波等,并可用于台风和海啸等自然灾害的预报。此外,它还用于水下导航、定位、信号传递和遥控等技术中。声学技术的广泛应用,需要更深入地研究声波在海中的传播规律,研究温度、盐度、风浪、海流、内波、海底类型和海中悬浮物等因素对声波传播的影响,以便更好地获取和识别声信号。声波在深海中的传播规律,已有系统的理论,但在浅海中传播时,由于海底和水文条件的多变性,理论计算很困难,应用了电子计算技术之后,一些相当复杂的浅海传播问题,已得到初步解决。海洋声学的实验规模较大,除依靠调查船外,已大量采用浮标和固定岸站来完成,有些实验因耗资过大,往往需要几个国家联合进行。当前利用电子计算机,把从发射到接收声波的过程中的波形的变化,反推声在海中传播的规律,进而判断海洋媒质的状态,将是海洋声学研究的一个新方向。此外,现代的微电子学、微计算机、信号处理技术和换能技术等的发展,都对海洋声学的发展有重要的影响。

参考书目
  1. C.S.Clay,H.Medwin,AcousticalOceanography,John Wiley & Sons,New York,1977.