[拼音]:dixiashui shuxue moxing
[外文]:mathematical model of groundwater
描述地下水水头、水质和水温等现象及其变化过程的数学表达式。它用数学方法表述经过简化和概化的地下水系统。地下水、含水的裂隙岩石、可溶性岩石、砂、砾、卵石层等及其相邻的弱透水层和隔水层组成的整体可看作一个系统,称地下水系统。这种系统的输入主要是地下水的补给,如降水和地表水的入渗;输出是地下水的天然排泄和人工开采。而系统的状态则是地下水动态(水位、水量、水质和水温等)。地下水系统可细分为若干子系统,它本身又是更大的系统即流域水文系统的一部分。
分类地下水数学模型按描述对象分为水头(水位)、水质和水温三种。由于地下水的流量是由水头梯度决定的,故由已知水头分布的水头模型即可算得地下水的流量。这三种模型可用来计算地下水的水头及流量、溶质浓度和水温在时间、空间上的变化,为地下水资源的准确评价和合理开发、抽水引起的地面沉降的预测、地下水污染的预测和控制,为查明放射性废物在地下储存的可能性、海水入侵含水层状况、肥料在土壤中的运移,为土壤盐碱化的防治和用井孔灌水的方法在地下水系统中储冷或储热等提供科学依据。
此外,为使地下水系统发挥最大的社会经济效益,可在以上三种模型的基础上,加入有关的社会经济因素和最优化方法,建立地下水管理模型。
地下水数学模型按其所用的数学方法又可分为确定性模型和随机性模型两大类。
确定性地下水数学模型指能用确定性函数关系描述地下水的水头、溶质浓度或水温的数学模型。它是以偏微分方程和一组初始条件及边界条件构成的,这些模型在数学物理方程中也称定解问题。对不同的情况,确定性地下水数学模型有不同的形式。
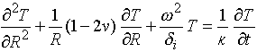
在均质、等厚、无界的承压含水层中单井抽水时,水头的数学模型为
偏微分方程:
(1)
初始条件:H =H0 (当t=0时)
边界条件:H =H0 (当R→∞时)
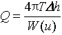
(当R→r时)式中H 为地下水水头;R 为研究点离抽水井中心的距离;t 为时间;S 为含水层释水系数;T 为导水系数;H0为地下水的初始水头;r 为抽水井半径;Q 为水井抽水量。该数学模型的解为
(2)即著名的泰斯公式,其中W(u)为泰斯井函数。
用于计算流量时,泰斯公式改写为
(3)
Δh=H0-H为水位降深。
当在无限延伸的含水层中,地下水作一维流动时,溶质浓度运移的数学模型见水质数学模型。
又如在无界的承压含水层中,以定流量Q 向单井中注入冷水时,含水层中水温分布的数学模型为
偏微分方程:
(4)
初始条件:T =T0 (t=0时)
边值条件:T =T0 (当R→∞时)
T =T
(当R =r 时)
式中
;Q为注水量; T 为水温;T0为原来水温;T
为注入水的水温;R为至抽水井中心的距离;δ为含水层厚度;δi为不透水圈闭层厚度;k为含水层的热导率;k′为不透水圈闭层的热导率;δc为不透水圈闭层传热带的厚度;ca为含水层的比热;cg为地下水的比热;ρa为含水层的密度;ρw为水的密度。
当系统的体形不规则,参数有变化,则很难从数学模型中得到状态的函数表达式。必须用数值解的方法。数值解是一种近似解法,它只能求出空间和时间上某些点满足一定精确度要求的近似解。数值解一般都需借助电子计算机来计算。
随机地下水数学模型指把地下水位的变化等现象当作随机事件进行描述的数学模型。在地下水水文学中最常用的是用回归分析法建立的数学模型。随机性模型只能给出各种因素(变量)间非确定的、但有一定的联系的相关关系,如地下水位与降雨量之间、泉水流量与时间之间的关系。其数学表达式是通常所称的回归方程。如地下水某一因素只和一个变量有关,称二元回归;与多个变量有联系则称多元回归;如相关关系属线性的称线性回归,否则称非线性回归。
一般只有积累了长时间的观察数据才有可能建立随机性模型。但是在确定性模型中也有一些物理量的函数关系不易找出,常常借助于随机性模型推求。因此,在某些情况下把确定性模型和随机性模型结合起来,可取得较好的效果。
在地下水管理模型中,除有关的输入因素外,还加上某些特定的经济和社会的约束条件,求得最优决策。如新建一个地下水水源地,要考虑工农业生产和旅游业的需水量分配、允许的最大降深值、环境保护等约束条件,在众多方案中,选择经济和环境效益最佳的方案,如在规定期限内所得净利润最多、提供单位体积水的成本最低、不会引起环境恶化的方案。常用的数学方法有线性规划、非线性规划和动态规划等。