[拼音]:youxiancha yansuan
[外文]:calculus of finite difference
运用符号算子及其运算规则处理插值、级数求和以及差分方程求解等问题的形式演算方法,也可称为离散微积分学或有限差分学。
运用差分运算的思想出现很早,6世纪,中国隋朝的天文学家刘焯(544~610)就已能运用二阶差分,并在解决日、月不均匀运动问题中,提出了等距二次内插公式。有限差的演算方法在B.泰勒的《增量方法》(1717)中已经出现。但其真正奠基人是J.斯特林,他在《微分方法》(1730)中解决了大量有限差演算的问题,包括级数求和等问题。有限差演算的第一部论著是L.欧拉的《微分演算教程》(1755),他第一个引进差分算子Δ 。
有限差演算在数值分析、概率统计、运筹学以及电网络、编码、计算机软件等应用科学中广泛地被应用。
函数的差分设h为一正的常数,则实变量函数ƒ(x)的增量ƒ(x+h)-ƒ(x)定义为ƒ(x)在x处的一阶差分,h为步长,记为 Δƒ(x)=ƒ(x+h)-ƒ(x)。一阶差分Δƒ(x)也是x的函数,故它的增量Δƒ(x+h)-Δƒ(x)可定义为ƒ(x)在x处的二阶差分,记为Δ2ƒ(x)=Δ(Δƒ(x))=Δƒ(x+h)-Δƒ(x),类似地,可以定义ƒ(x)在x处的n阶差分为
,
式中n为自然数, Δ0ƒ(x)=ƒ(x)。上述定义中算子Δ称为向前差分算子,简称差分算子,在实际应用中,对函数ƒ(x)只要求定义在等距离散点列{xk}(k=0,±1,±2,…)上即可。
差分算子 Δ 具有以下的性质:
(1)常数的差分为零,即ΔC=0,其中C为常数;
(2)差分算子是线性算子,即
其中C1,C2为常数;
(3)若r,s是非负整数,则
=
或记为
④若ƒ(x)是n次多项式,则Δkƒ(x)(0≤k≤n)是n-k次多项式,并且当k>n时,Δkƒ(x)=0;
(5)乘积的差分满足关系式Δ(ƒ(x)·g(x))=ƒ(x)Δg(x)+g(x+h)Δƒ(x)。
几种常用算子及其相互关系不变算子I 作用于函数ƒ(x)时有Iƒ(x)=ƒ(x)。
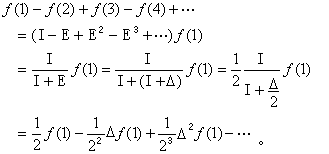
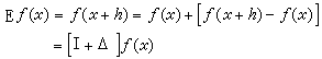
移位算子E 表示把函数的自变量加上一个步长 h,即Eƒ(x)=ƒ(x+h),一般的情形,如果t为任一实数, 则Etƒ(x)=ƒ(x+th),当t=0时,E 0ƒ(x)=ƒ(x),亦即E 0=I。由E的定义可得
因此,移位算子墻与差分算子Δ有关系式
,
微分算子D 作用于函数ƒ(x)时有Dƒ(x)=ƒ┡(x),按照形式演算的观点,由泰勒展开式及上述符号算子的定义,有等式
因此,移位算子E与微分算子D有关系式
向后差分算子墷
中心差分算子δ
平均算子μ
由符号算子的定义及形式幂级数展开,还可以得到如下的关系式:
符号算子的演算实例
利用前述的符号算子间的关系以及这些算子的形式幂级数展开进行形式上的演算,可以推演出许多基本公式,特别在推导插值公式、数值微分公式、数值积分公式中很有用,下面列举几个重要的实例。
(1)由于
故
将这个等式两边的算子分别作用于ƒ(0),得到
这就是高阶差分公式。
(2)已知E=I+Δ,设t为实数,则有
将此作用于ƒ(x),得到
这就是牛顿插值公式。
(3)由于
故有
同理可得
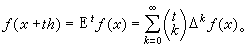
(4)为使收敛缓慢的交错级数加速收敛,通常使用欧拉变换。这个十分有用的级数变换可以利用符号算子的形式演算导出:
利用符号算子的形式演算还可以推得其他一些公式,例如分部求和公式等。
尽管符号算子演算规则能够帮助人们得到许多重要的公式,但它并不指出这些公式成立的条件及有效适用的范围,运用这些公式作近似计算时,也并不给出余项(误差)估计。因此,这种演算的主要意义在于帮助人们去推导和记忆一些有用的结果,但是并不能用它来进行论证。
- 参考书目
- L. M. Milne-Thomson,The calculus of Finite Differences, Macmillan, London, 1951.