[拼音]:dianzhi shensuo
[外文]:electrostriction
在外电场作用下电介质所产生的与场强二次方成正比的应变, 称为电致伸缩。这种效应是由电场中电介质的极化所引起,并可以发生在所有的电介质中。其特征是应变的正负与外电场方向无关。在压电体中(见压电性),外电场还可以引起另一种类型的应变;其大小与场强成比例,当外场反向时应变正负亦反号。后者是压电效应的逆效应,不是电致伸缩。外电场所引起的压电体的总应变为逆压电效应与电致伸缩效应之和。对于非压电体,外电场只引起电致伸缩应变。
一般地,电致伸缩所引起的应变比压电体的逆压电效应小几个数量级。要在普通电介质中获得相当于压电体所能得到的大小的应变,外电场需高达108V/m。但在某些介电常数很高的电介质中,即使外电场低于106V/m,亦可获得与强压电体相近的机电耦合作用而提供技术应用。电致伸缩的另一个特点是在应用中其重现性较好。在外加强直流偏置电场作用下,对于叠加的交变电场,电致伸缩材料的机电耦合效应的滞后及老化现象比之常用的铁电性压电陶瓷要小得多。这个优点使得电致伸缩效应常用于压力测量、连续可调激光器、双稳态光电器件等方面。近年来,随着布里渊散射、次级光电效应的研究、激光自聚焦等非线性光学的发展,电致伸缩谐振子和传感器相继问世,电致伸缩现象逐渐引起了人们的关注。
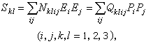
在外电场Ei作用下,记电介质的极化强度为Pj,则电致伸缩所引起的应变分量可写为
式中N
和Q
称为电致伸缩系数。每种系数各有81个,组成一个四阶张量,称为电致伸缩张量。电介质的结构对称性可以使电致伸缩张量的非零独立分量大为减少。例如对于点群为Oh=m3m的电介质立方晶体,非零独立分量只有两个,即N1111和N1112(或Q1111和Q1112)。这些系数可通过测量外电场(或极化强度)与应变的关系直接得到。
目前关于电致伸缩材料的研究方向在于使其获得可与压电陶瓷相比拟的形变。已经在两个方面取得进展:制成了电致伸缩效应相当大而电滞后效应和老化现象都很小的材料,以及采用独石电容器结构工艺使产生足够的应变所需的电压相当程度地降低。其中最为可取的是以铌镁酸铅为基体的弛豫型铁电陶瓷,这类材料正在用于制成电致伸缩换能器。