[拼音]:dingtai
[外文]:stationary state
微观粒子所处状态中的一种类型的状态。处于定态的微观粒子在空间各处出现的几率不随时间变化,而且具有确定的能量。
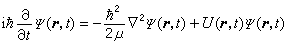
微观粒子的状态由波函数 ψ(r,t)描写,ψ(r,t)满足薛定谔方程
。
当粒子所在的力场不随时间变化,即U(r,t)=U(r)与时间无关时,上式的解可以写成
, (1)
式中E为常量。ψ(r)所满足的方程为
。 (2)
式(1)中的ψ(r,t)所描写的状态称为定态。在定态中,粒子在空间一点r附近出现的几率与时间无关:|ψ(r,t)|2=|ψ(r)|2,因此,定态的波函数式(1)常常简单地用ψ(r)来代替。式(2)常被称为定态薛定谔方程。在标准条件下解这个方程可以得出E的一组值。对于E的一个值Ei,可以解出相应的定态波函数 ψi(r)。量子力学认为,当粒子处于ψi(r)所描写的状态时,粒子的能量为Ei,Ei的全部数值的集合, 称为粒子的能谱。根据不同情况,能谱可以是分立的,也可以是连续分布的。