[Æ´Òô]£ºKulun sanshe
[ÍâÎÄ]£ºCoulomb scattering
´øµçÁ£×Ó´©¹ýÎïÖÊʱ£¬ÔÚÔ×Ӻ˵ĿâÂØ³¡×÷ÓÃÏ·¢ÉúƫתµÄÏÖÏó¡£
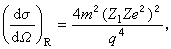
¼ÇÈëÉä´øµçÁ£×ÓµÄÖÊÁ¿Îªm£¬µçºÉΪZ1e£¬ËÙ¶ÈΪv£¬¶¯Á¿Îªp£¬ÄÜÁ¿ÎªE¡£¶ÔÓÚÈëÉäÁ£×ÓµÄ×ÔÐýΪ0£¬ÇÒ±»·Ç³£ÖصÄ×ÔÐýΪ0£¬µçºÉΪZeµÄÔ×ÓºËÉ¢ÉäµÄÇé¿ö£¬E.¬ɪ¸£ÀûÓò£¶÷¹«Ê½µÄÒ»¼¶½üËÆ£¬ÇÒ¼Ù¶¨¶þÕß¶¼ÊǵãÁ£×Ó£¬Ëã³öÉ¢Éä΢·Ö½ØÃæÎª
ʽÖÐqΪɢÉäǰºóÈëÉäÁ£×ӵ͝Á¿Ö®²î£¬ËüÓëÉ¢Éä½Ç¦¨ÓÐÒÔϹØÏµ
ÕâÖÖÉ¢Éä³ÆÎªÂ¬Éª¸£É¢Éä¡£ÔÚÕâÖÖÉ¢ÉäÏ£¬ÈëÉäÁ£×ӵľµä¹ìµÀÊÇÒÔÔ×ÓºËΪ½¹µãµÄË«ÇúÏß¡£
N.F.ĪÍѽøÒ»²½¼ÆËãÁË×ÔÐýΪ1/2£¬µçºÉΪeµÄÁ£×Ó£¨Èçµç×Ó£©±»×ÔÐýΪ0µÄÖØºËÉ¢É䣬µÃµ½Î¢·Ö½ØÃæÎª
Õâ³Æ×÷ĪÍÑÉ¢Éä½ØÃæ¡£