[拼音]:xiangliang
[外文]:vector
一种既有大小又有方向的量。又称为矢量。例如在物理学中的速度、加速度、力等等就是这样的量。舍弃实际含义,就抽象为数学中的概念──向量。
下面限于三维欧氏空间中来讨论。
向量的表示法
通常可以用几何的或代数的方法来表示向量。
向量的几何表示法从空间中任意一点 A出发引一半射线l,并在其上另取一点B,则有向线段AB就代表一向量(图1
),简记为
,或用α表示;这向量的大小就是线段AB的长,其方向就是半射线l的方向。向量α的大小称为它的模或绝对值,记为
。
一般说来,如果向量
的起点A换作另一点A┡,终点也换作另一点B┡,使AB∥A┡B┡,且它们的指向也相同,又长度
则认为向量
与向量
是相等或相同的向量:
,仍可记为α。这样理解的向量有时也称为自由向量(起点可自由改变)。当然根据实际情况,有时向量的起点不能随便改变(例如,如果向量α代表一个力,其起点A代表力的作用点,这时起点就不能随意改变),这种向量有时称为固端向量。这里一般只考虑自由向量。
一种特殊情况须加注意,就是B=A的情况,这时向量
称为零向量,记为0。零向量的模为0,而且无确定方向。
按照前面自由向量的观点,规定两向量α,b相等的充分必要条件是:|α|=|b|,且(如果它们不是零向量)α,b的方向(包括指向)相同。
如果向量α,b(都≠0)所在直线平行或重合,则称α与b平行,记作α∥b。向量-α指的是其模与α的模相等、且与α平行但指向相反的向量。如果向量α,b所在直线互相垂直,则称α与b互相垂直或正交,记作α⊥b。
此外还规定,任何向量α都与零向量0既平行又垂直。
根据定义,任何向量α与它自身平行。
如果向量α的模等于1(|α|=1),则称α为一单位向量。
向量的代数表示法向量的几何表示法既直观又简单。但作为一种数学量,向量要参加运算,这种表示法有时就极不方便。下面向量的代数表示法就可克服这一困难。
在空间取定一右手坐标系(当然也可取左手坐标系,但为确定起见,不取左手系),如图2
。已给一向量α。把它的起点取在坐标原点O处,其终点为
。把有向线段Op投影到三坐标轴x,y,z上,分别得投影Op1,Op2,Op3,它们的有向长x,y,z分别称为α在x轴、y轴、z轴上的三个分量,而把α表示为
(1)
这便是向量α的代数表示法。(x,y,z)实际上就是p点在Oxyz坐标系中的坐标。反过来,给定空间一点p (x,y,z),由(1)式就可定义一向量α,使其三个分量依次为x,y,z。
零向量0的三个分量都是0:0={0,0,0}。
由定义还可知,如果向量α以(1)式给出,则
如果向量α的起点取在Q1{x1,y1,z1}点,而终点为Q2{x2,y2,z2},则其代数表示为
(2)
当坐标系作平移时,向量的代数表示不变。当坐标系在讨论过程中始终固定不变时,则也可把(1)式,即三个有顺序的数x,y,z作为向量的定义。
向量的代数运算
向量作为一种数学量可以进行某些代数运算,如加法、减法、乘法等。这些运算方法都有实际背景,因此在实际上是有意义的,应用时是有效的。
向量的数乘向量α与一(实)数с的乘法规定如下:定义сα为一向量,其模
且与α平行;当с>0时,其指向与α的相同;当с<0时,它就与α的相反(图3)。
当然с=0时,0α=0。特别,易见
如果用代数表示法,则若α={x,y,z},便有
向量的数乘是符合结合律的,即若α为一向量,b,с为任二数,则
向量的加法
已给二向量α,b,来定义α+b。用几何表示法,将
取在同一起点O(图4
),然后以OA,OB为邻边作一平行四边形,得另一顶点C(图4),则向量c=OC就定义为α+b。所以向量的加法规则也称作平行四边形规则。又因
所以α+b也可这样来理解:先作出
然后以A为起点,作
则三角形OAC的第三条边OC就形成一向量
因此,向量的加法规则有时也称为三角形规则。
如果用代数表示法,设
则有
由向量加法定义,有以下规律:
向量的减法
与通常算术中一样,把向量的减法作为加法的逆运算来定义。即已给二向量α,b,定义α-b=c为一向量,使得b+c=α。
在几何上,如果
,则
(图5
)。在代数上,如
则
由此立刻知道,α-b是惟一的。而且容易看出,
总之,对于向量的加减法和数乘来说,可以如同数字的算术运算那样进行。
向量与向量的乘法情况稍为复杂一点。
向量的内积设有二向量α,b。先假定它们都不是零向量。记它们之间(即它们所在直线之间)的夹角为θ,则定义
为α,b的内积,或称为点积,也简记为αb。它不再是向量,而是一个数,所以也称为数积。如果α,b中只要有一个是零向量,则定义α·b=0。
如果用代数方法,设
则
由定义还可看出α·α(也记为α2)=|α|2=α2(α仍表示α的模)。
向量的内积遵从以下一些运算规则:
此外,还可看出,两向量α,b互相垂直(正交)的充分必要条件为α·b=0(不论α,b是不是零向量)。
向量的外积这是向量的另一种乘法。仍设α,b为二向量。也暂先假定它们都不是零向量,且不平行。定义α×b=c为一向量,其模为
|c|=|α×b|=|α||b||sinθ|, (3)式中θ仍为α,b的夹角,其方向要求与α,b都垂直,而其指向如下法规定:使α,b,c的指向依次恰如Oxyz坐标系中x轴,y轴,z轴的正向那样构成一右手系(图6
)。|α×b|在几何上正好是以α,b为两邻边构成的平行四边形的面积。如果α∥b,则因θ=0或π,故定义α×b=0;因此,如果α,b中至少有一个是零向量,则也有α×b=0。α×b称为α,b的外积或叉积。因为它仍是个向量,所以也称为向量积。
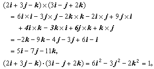
用代数表示法时,设
则
α×b={α2b3-α3b2,α3b1-α1b3,α1b2-α2b1}。
注意,向量外积不服从交换律,而服从反交换律:
它也不服从结合律,即一般
但若注意了次序不能改变,则这一乘法却服从分配律:
两向量α,b平行的充分必要条件是α×b=0。值得注意,对于任意向量α,恒有α×α=0。
向量的外积与内积间有下一重要公式:
向量的混合积
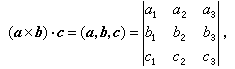
下面这一把向量的外积和内积结合在一起的乘积也是很有用的:(α×b)·c,称为α,b,c的混合积,也记成(α,b,c)。它是一个数而不是向量。
如果
则可以用行列式来表示混合积:
由此可见
在几何上,如果把α,b,c的起点都放在同一点O,则(α×b)·c的模表示由这三向量为邻边构成的平行六面体的体积(图7
)。
向量的分解
正如力、速度等可分解为分力、分速度等等,向量也可分解为分向量,即如果α=b+c,则称α被分解为两分向量b,c。
常用的分解为:在取定坐标系后,分别记沿x轴、y轴、z轴正向的单位向量为i,j,k(图8
),即i={1,0,0},j={0,1,0},={0,0,1},则任何向量α={x,y,z}可分解为
注意到i,j,互相垂直,且
则也可利用上述分解式来进行向量计算,完全可按通常代数运算来进行。例如
有时只考虑位于同一平面中的向量,这时向量还可用复数来表示(见复数)。
向量概念还可推广到维数更高的空间或更为抽象的空间中去。
还可考虑向量(依赖于自变量时)的微分、积分等等分析运算(见向量分析)。