[拼音]:Bonulishu
[外文]:Bernoulli numbers
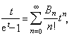
18世纪瑞士数学家雅各布第一·伯努利引入的一个数。设伯努利数为Bn,其定义:
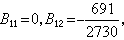
这里|t|<2π。由计算知:B0=1,



一般地,n≥1时,有B2n+1=0;n≥2时,有公式
可用来逐一计算伯努利数。伯努利数在数论中很有用。例如,对于佩尔方程x2-py2=-4(p呏1(mod4)是素数),N.C.安克尼和E.阿廷曾猜想它的最小解
满足p凲y0,1960年,L.J.莫德尔证明了在p呏5(mod8)时,S.乔拉证明了在p呏1(mod8)时,上述猜想等价于伯努利数
的分子不被p整除。伯努利数还可用于费马大定理的论证中。设p>3,如果伯努利数B2,B4,…,Bp-3的每一个的分子不被p整除,这样的素数p叫正规素数,否则就叫非正规素数。德国数学家E.E.库默尔证明了:当p为正规素数时,费马大定理成立。不难计算当3<p<100时,除开p=37,59,67以外,其余的素数都是正规素数。因此,在费马大定理的研究中,库默尔的结果是一项突破性的工作(见不定方程)。尽管有许多判别正规素数的法则,但是,是否有无穷多个正规素数,尚未解决。而非正规素数有无穷多个,早在1915年就被人们所证明。