声波在各向异性晶体中的传播

在科学研究和实际应用中遇见的固体通常有晶体和非晶体之分。两者的根本区别在于:晶体内部的原子或离子按一定的规律排列着,而非晶体中它们的排列是不十分规律的。在晶体中,力学、电学和热力学等特性在相对于晶轴的不同方向上各不相同;而对于非晶体,这些性能往往是各向同性的。所以在讨论声波在各向异性晶体材料中的传播规律时,必须考虑晶体的对称性

若声波波长远大于晶体中原子间的距离,晶体可以作为一个连续体看待,但反映点阵微观结构的宏观参量──弹性常数将直接与声波的传播状况有关。在晶体中,独立的弹性常数的个数决定于该晶体的点阵结构(例如对称性最高的立方晶体仅有三个独立的弹性常数,而对称性最低的三斜晶体则有21个),所以求解晶体中的波动方程和分析波在晶体中的传播现象比各向同性材料时更为复杂。

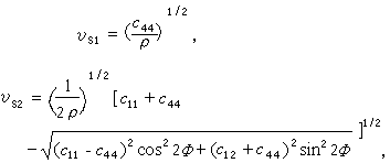
固体中每一个方向上都可以传播一个纵波和两个横波。对各向同性的固体,纵波速度和横波速度虽然不同,但都不随传播方向而变。在各向异性的固体中声波速度都可能随传播方向而变,两个横波速度通常也不同。例如,对立方晶体中xz两晶轴所决定的平面内传播的声波,纵波速度为

两个横波速度分别为

式中с11、с12、с44为弹性常数,ρ为晶体密度,Φ为声波传播方向与x晶轴之间的夹角。

其次,对各向同性的固体,纵波所对应的媒质质点振动方向总是与传播方向严格平行,而两个横波的相互垂直的质点振动方向又始终与传播方向垂直。但在各向异性的晶体中,纵波中质点振动位移通常并不与声传播方向平行,两个横波所对应的质点振动位移与声传播方向也不垂直。这些与声传播方向不一致的纵波称为准纵波,质点振动方向与传播方向不垂直的横波称为准横波。而只有在某些特殊方向上,如立方晶体的[100]和[001]等方向上,才会出现各向同性固体中那样的纯纵波和纯横波。再者,在各向异性的晶体中声波的能量传播方向与波阵面的传播方向也不一致(此现象称为波束偏斜),同样也只能在晶体的某些特殊方向(如上面提到的立方晶体的两个方向)上两者才一致。有限宽度的平面声波在各向异性晶体中传播时还伴随着很复杂的衍射现象。

在讨论压电晶体中的声波传播时,除了考虑弹性常数外,还必须引入晶体的压电常数(见压电性)和介电常数。在压电晶体中的声波伴随着压电波的传播,如果以由晶体的压电和介电常数修正后的等效弹性常数代替原来的弹性常数,则问题的求解方法与非压电晶体中的情况相同。

研究声波在各向异性晶体中传播规律是声学中的一个重要课题,声的传播速度直接与材料的弹性有关,所以测定纵波和横波在晶体中不同方向上的传播速度可完全决定材料的弹性参量。讨论声波在晶体中的波束偏斜及衍射效应则与固体中声场的分析和研制实用的声学器件(如超声延迟线和声放大器等)密切有关。

固体中声波频率增加而使得声波波长与晶体的原子或离子间距离可以比拟时,晶体将不能看作连续体,每个原子的振动状态和它邻近的原子振动状态有明显不同,因而必须直接考虑点阵结构对声传播的影响,这时,声波传播速度也将随声波频率而变化。

参考书目
  1. B.A.奥尔特著,孙承平译:《固体中的声场和波》,第1册,科学出版社,北京,1982。(B. A.Auld,Acoustic Field and Waves in Solids, Vol. 1, 2, Wiley-Interscience, New York,1973.)