透镜及透镜组

以两个折射曲面为边界的透明体称为透镜,通常多以光学玻璃为原材料,磨制成形后将折射面抛光而成。两个折射面中可以有一个平面,但两个折射面都是平面者不能称为透镜。透镜由于两个表面的折射,具有对光束的会聚或发散作用,能在任何要求位置形成物体的像。因此是光学成像系统和照明系统中不可缺少的光学零件。单独一片透镜往往不能满足校正像差的要求;在光学仪器设计过程中经常用几片透镜构成组合体,从校正像差的需要出发,确定各透镜的结构参量,使整个组合体既满足成像和使用要求,又达到指定的相对孔径、视场角等光学性能。这种具有相对独立功能的组合体称透镜组,根据用途的不同,它们又被赋予物镜、目镜等专门名称。

透镜

按其形状,可分为下列几种。

球面透镜

折射曲面为球面的透镜。通常不加特殊说明而提到透镜或透镜组时,绝大多数场合是指球面透镜及其组合,因为在各种曲面中只有球面最适合批量生产,最容易加工到高精度。过二球面曲率中心的直线称为透镜的光轴。在由一个球面和一个平面组成的透镜中,光轴是通过球面的球心并垂直于平面的直线。光轴与透镜表面的交点称为顶点。

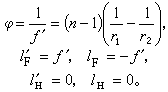
透镜的高斯光学性质由它的基点位置和焦距大小决定,如图1,ff┡为物方和像方焦距;lFl弬为物方和像方顶焦距;它们与透镜的结构参量即曲率半径r1r2、沿光轴厚度d折射率n之间有如下关系:

式中φ为透镜的光焦度。主点HH┡的位置可由公式:

求得。

图1

绝大多数实际应用的透镜,其厚度与半径相比是一甚小的数值,当略去其厚度时,得到近似公式

透镜可分成正透镜和负透镜两类。正透镜具有正的像方焦距值,从而有正的光焦度,能对光束起会聚作用,故又称会聚透镜;负透镜具有负的光焦度,对光束起发散作用,故又称发散透镜。

按形状不同,正透镜可分双凸、平凸和月凸(或正弯月形)透镜三种形式,其共同特征是中心厚度比边缘厚度厚。负透镜也可分双凹、平凹和月凹(或负弯月形)透镜三种形式,其共同特征是中心厚度比边缘厚度薄,如图2。

图2

球面透镜除了作为元件构成光学仪器中各种透镜组外,单独使用的例子也不少,如眼镜片、低倍放大镜等。

轴对称非球面透镜

较常用的有二次曲面(椭球面、抛物面、双曲面)的非球面透镜,多半用于聚光镜一类的场合,它可对很大的孔径校正球差,因此可以替代由多块球面透镜组成的聚光镜系统。但在光学成像系统中,为校正像差,有时也用高次曲面的非球面透镜。应用非球面透镜,不仅在校正像差方面有独到的好处,而且能简化光学系统结构,因此具有重要作用。只是精密的非球面,加工和检测要比球面困难得多,尚未能普遍采用。

柱面透镜

凡由两个母线互相平行的柱面,一个柱面和一个平面或一个柱面和一个球面组成的透镜都称柱面透镜。柱面透镜由于是非轴对称的,其成像性质可通过两个截面来描述。一个是平行于母线的截面,它相当于平行平板,光焦度φ=0,对光束没有聚焦作用;另一个是垂直于母线的截面,它相当于一个球面透镜,具有最大的光焦度。所以,当柱面透镜对一个点光源成像时,得到的是一条与母线方向一致的直线,其共轭距由相当于球面透镜的截面所决定。随着宽银幕电影技术的发展,柱面透镜得到广泛应用。宽银幕电影摄制和放映时,在普通镜头前面加一个附加套镜,又称变形镜头,它由母线相互平行的几个柱面透镜组成,在平行于母线的截面内仍相当于平行板,而在垂直于母线的截面内相当于望远镜系统。附加在电影摄影机镜头前面的套镜使影像水平方向(即垂直于母线的截面方向)的尺寸压缩成原来的一半,而高低方向的尺寸不变,于是在电影胶片上得到横向被压缩的变形影像。影片放映时在放映机镜头前也加上套镜,套镜使画面尺寸在水平方向加倍而高低方向不变,于是银幕上的影像恢复到景物本来面目,同时也得到宽银幕效果。虽然存在不同类型的宽银幕电影,上述类型由于能利用普通银幕电影的全套设备,是目前最为流行的。

阶梯透镜(菲涅耳透镜)

有“阶梯”形不连续表面的透镜;“阶梯”由一系列同心圆环状带区构成,故又称环带透镜。图3中虚线表示一个普通透镜的连续表面,如果透镜的焦距短而直径大,透镜就又厚又重;同一图中的实线表示具有相同焦距和直径的阶梯透镜的不连续表面,就设计原理而言可以假想它是连续表面“分割”成一个个环带后进行不等距平移形成的。比较二者,显然阶梯透镜有厚度小、重量轻、光吸收损失小等优点,而且各环带的面形在设计过程中可根据需要分别调整,互不牵扯,有利于像差的校正。1820年法国科学家 A.-J.菲涅耳首先在灯塔的导航灯系统中使用阶梯透镜,故文献中多称之为菲涅耳透镜。近几十年来,不用玻璃而用光学塑料制造的阶梯透镜逐渐增多。塑料易于压制成形,适合批量生产,其比重小于玻璃,使透镜重量进一步减轻。由于工艺的改进,环带宽度可小于1毫米,甚至小于0.1毫米;每个环带都是圆锥面的一部分,不同环带的锥顶角不同;因环带很窄,圆锥面和理论要求的曲面几乎没有差别,故不影响光学性能。这种密纹阶梯透镜常被称为螺纹透镜,可用作电视放大镜、书写投影仪的聚光镜、照相机取景器的场镜等。

图3 图4

透镜组

常用的透镜组有放大镜、目镜、显微镜物镜、照相物镜和投影物镜。

放大镜

辅助眼睛观察细小物体的透镜组称为放大镜。单片正透镜是一个最简单的放大镜。

使用放大镜时,被观察物体AB位于物方焦点上或焦点以内与之很靠近的地方,眼睛看到的是物体的虚像A┡B┡,如图4。放大镜的一个重要性能参量是放大率M,它等于通过放大镜观察物体时,其像对眼睛的张角w┡的正切与眼睛直接看物时,物对眼睛张角w的正切之比,即

一般眼睛于明视距离250毫米处看物,则可得

可见,放大镜的焦距f┡越短,倍率越高。对于单片透镜,由于像差和透镜直径的限制(因系视场光阑,直径不能太小),一般只能应用于5倍以下。如用两片或多片透镜组合起来,则放大率可达15~20倍。

目镜

在目视光学仪器中用于观察物体被物镜所成像的透镜组称为目镜。目镜的作用与放大镜相当,但作为仪器的组成部分,它所能接受的光束已被物镜的像方光束所限定,因此眼睛瞳孔的位置也随之限定,一定要置于仪器出射光瞳处,才能看到全部视场。仪器的出射光瞳一般位于目镜像方焦点以外与之很靠近的地方,目镜最后一面至出射光瞳的距离称为出瞳距离,或称镜目距,它大致等于目镜的像方顶焦距l弬,是选用目镜时的一个重要参量,这个数值不应小于6~8毫米。设目镜的焦距为,则放大率为,放大率一般在5~20倍之间,故焦距最多也不过几十毫米,属于中短焦距一类透镜组。此外,目镜的相对孔径较小而视场较大,所以球差和轴向色差一般不是关键问题,而应着重于校正轴外像差,主要是垂轴色差、彗差和像散(见像散和像面弯曲)。由于眼睛有调节功能,对像面弯曲可以放宽要求。

最简单和常用的两种目镜是惠更斯目镜和冉斯登目镜,它们都是由两片平凸透镜组成的。惠更斯目镜,其两透镜的凸面均朝向物镜,如图5a。两透镜间的距离 d等于焦距平均值,即

这是为消除垂轴色差必须满足的条件;但由于f姈>f娦,故df娦,结果是目镜物方焦点F不能位于目镜外面,无法在物方焦面上设置分划板,因此惠更斯目镜只用于观察系统,如生物显微镜。冉斯登目镜,其两块透镜凸面相对,如图5b。两透镜间的距离比消色差条件,所要求的小得多,其优点是目镜物方焦点F位于目镜外面,可以在焦面上设置分划板,使目镜适用于瞄准、测量等系统;缺点是垂轴色差的校正不像惠更斯目镜那样好,但其他像差的校正并不比惠更斯目镜差。上述两种目镜,视场可以到2w=30°~50°。

图5 图6

其他较常用的目镜有图6所示的几种形式:

(1)开尔纳目镜,它是在冉斯登目镜的基础上,把接目镜改为双胶合组组成,以达到校正垂轴色差的目的,视场可达45°(图6a);

(2)对称型目镜,由两个消色差的胶合组组成,其间隔大或小都不影响垂轴色差的校正,因而可以无限靠近,故镜目距可大到焦距的75%,视场约为40°~45°(图6b);

(3)阿贝无畸变目镜,因畸变比一般目镜小而得名;镜目距甚大,可达焦距的80%,适合于作高倍率目镜,视场约为45°(图6c);

(4)爱尔弗目镜,是一种大视场目镜,视场角可达60°~70°(图6d)。

显微镜物镜

显微镜物镜是显微镜中对微细物体成首次放大像的透镜组。显微镜用于观察、研究或摄影记录极微小的物体及其结构,因此首要的问题是要对物体的微细结构有足够的分辨能力。显微镜的分辨本领由物镜决定,有如下关系

式中,物方媒质折射率n与光束孔径角正弦sin μ之乘积称为物镜的数值孔径,记作NA,它是显微物镜的一个最重要的性能参量;λ为波长;σ是显微物镜刚能分辨开的物面上两点间最小距离,σ越小,分辨本领越高。所以,显微镜物镜为达到高的分辨本领,必须有尽可能大的数值孔径,显微镜的总放大率M是物镜垂轴放大率β(简称物镜倍率)和目镜放大率Me的乘积,它与物镜的数值孔径之间应有恰当的比例关系。装有小数值孔径物镜的显微镜,即使放大率M很大也无济于事,因为物镜分辨本领低,属无效放大;而装有大数值孔径物镜的显微镜,若总放大率M过低,则物体细节不能被眼睛所分辨而发挥不了物镜的高分辨作用。显微镜总放大率M与物镜数值孔径NA之间的恰当关系应为

500NA<│M│<1000NA

根据各种不同标本的观察需要,显微镜需配备一套具有不同数值孔径和倍率的物镜。物镜的倍率自然也是与数值孔径相匹配的,通常将二者标志于物镜的镜筒上,例如40×0.65表示倍率为40倍,数值孔径为0.65的物镜。

显微镜物镜的视场一般讲是比较小的,是一个大孔径小视场的透镜组,至少应该校正好球差、轴向色差和满足正弦条件。按此要求设计的物镜称为消色差物镜。图7所示是这种物镜的基本类型。a是低倍物镜,β=5,NA=0.1;b是中倍物镜,β=10,NA=0.25;c是高倍物镜,β=40,NA=0.65,d是浸液物镜,β=100,NA=1.25。

图7

消色差物镜的主要不足之处是二级光谱对整个视场像质的影响和像散及像面弯曲对视场外围部分像质的影响。在消色差物镜的基础上校正二级光谱、使三种色光消去轴向色差的物镜称为复消色差物镜,这种物镜需依赖于特种光学材料才能设计制造出来。改善视场外围像质,即采用弯月形厚透镜以进一步校正好像散和像面弯曲的物镜称为平场消色差物镜,这种物镜是显微摄影和显微投影所需要的。如果既校正二级光谱又改善视场外围像质,则得到平场复消色差物镜,这是一种质量十分完美的显微镜物镜。与消色差物镜相比,复消色差物镜和平场消色差物镜的结构要复杂得多,而平场复消色差物镜的结构则更为复杂。

望远镜物镜

望远镜物镜是望远镜系统中把无限远物体成像于其焦平面上的一个透镜组。在无透镜转像系统的简单望远镜中,物镜的这一像面与目镜的物方焦平面重合,眼睛通过目镜观察这一物体的中间像。

望远镜物镜的主要性能参量是焦距、相对孔径和视场角。望远镜的放大率M是物镜焦距f奿与目镜焦距 fé之比,而望远镜的镜筒长度是f奿与fé之和,故物镜的焦距f奿是决定望远镜放大率和筒长的一个重要参量。物镜相对孔径D/f奿是望远镜入射光瞳直径D与物镜焦距f奿之比,一般不大于1:3。望远镜物镜半视场角w与目镜半视场角w┡之间的关系为tgw=tgw┡/M,目镜视场角2w┡一般为40°~50°,设望远镜放大率M为 4×~6×,则物镜视场角2w不大于10°。所以一般讲,望远镜物镜是属于中等孔径和小视场一类的透镜组,只要对其校正轴向色差、球差和满足正弦条件即可。由于相对孔径不大,用单个镜组就能承担光线的偏角而不致于有大的剩余带球差。常用的结构形式有双胶合组、双分离组和三分离组,如图8。双分离组可使剩余带球差很小,甚至能对两个孔径带消球差,可以做到比双胶合组大的相对孔径;三分离组能使球差的色变化有所改善。

图8 摄影和投影物镜

摄影物镜是将空间物体成像于感光胶片或其他接收器上的透镜组;那些将一个物平面上的图形、文字成像于各种感光材料上的透镜组,诸如制版镜头、复印镜头等也属摄影物镜之列。投影物镜则是把小的工件或摄制在胶片上的文字、图像,以较大的倍率在各种屏幕或感光纸上成像的透镜组,如投影仪镜头、电影放映镜头和放大机镜头等。从光学结构上看,与摄影物镜属于同一类型。

摄影物镜因需适用于对不同亮度的物体有时甚至是照明十分微弱的物体的拍摄,要求有很大的相对孔径,并且要求是连续可调的。摄影物镜的视场也很大,就标准镜头而言,约为40°~50°,而广角镜头则更大。所以摄影物镜属大孔径大视场一类的透镜组,各种像差都需要校正;但由于普通感光胶片本身的分辨率不高,对物镜像差校正的要求要比显微镜物镜和望远镜物镜这一类小像差系统低得多,是属于大像差系统,这是摄影物镜能这到高性能指标的原因之一。当然,对不同用途的摄影物镜,像质要求也有很大差别,其相对孔径或视场往往随像质要求的提高而有所削减。

摄影和投影物镜由于各种像差都要校正,一般具有比较复杂的结构,图9所示是一些最常用的结构型式。图9a是由两个胶合组组成的珀兹伐型物镜,它有利于校正轴上宽光束像差,可达较大相对孔径(1:2),但因结构形式是两个分离的正透镜组,像面弯曲得不到校正,使视场受到限制,只能小于25°,最适合作电影放映物镜。图9b是三片式物镜,它是能同时校正七种像差的最简单形式,相对孔径和视场分别为1:4.5~1:3.5和40°~50°,成像质量一般,适用于低档照相机或投影仪。图9c是忒萨型物镜,与三片式物镜相比成像质量有所提高,相对孔径为1:3.5~1:2.8,应用比较广泛。图9d是双高斯型物镜,在相对孔径为1:2和视场为45°时,可以有很好的成像质量,在中、高档照相机中应用较广。在此基础上加以复杂化,可以得到性能和质量更高的物镜。图9e是远摄型物镜,适于做长焦距物镜。它由分离得很开的正、负两个镜组组成,可使其像方主面位于物镜之前,因此焦距虽长而筒长却可较短。图9f是反远摄型物镜,适于做短焦距物镜,它也由分离的正、负两镜组组成,但因负组在前,可使像方主面位于物镜之后,因此焦距虽短而有较长的工作距离,相对孔径一般为1:2~1:2.8,视场一般为60°~75°。

图9

近代,在电影摄影和电视摄像中普遍应用焦距可以连续变化的变焦距镜头,它可以获得用固定焦距镜头拍摄时所不能达到的艺术效果。这种镜头是靠移动(有线性的、也有非线性的)某几个镜组来达到变焦的目的,当然其结构是极其复杂的。近些年来,在普通的照相机上也已开始配用变焦距镜头。