[拼音]:Dilikelei L hanshu
[外文]:Dirichlet L-function
又称对应于模q的特征ⅹ(n)的狄利克雷L函数, 即函数
,其中q≥1,ⅹ(n)是模q的一个特征,复变数s=σ+it,σ>1。它在q=1时就是黎曼ζ函数。这类函数最初是由P.G.L.狄利克雷在研究算术级数中的素数分布问题时引进的。它的性质和作用,都与黎曼ζ函数类似,在许多数论问题中有重要应用。它的主要性质有:
(1)当σ>1时,
,式中
表示对全体素数求积。因而L(s,ⅹ)≠0 (σ>1)。
(2)当ⅹ0是模q的主特征时,
于是,通过ζ(s)就把L(s,ⅹ0)解析开拓到全平面。
(3)当ⅹ是模q的非主特征时,一定存在惟一的一个模q*,使当σ>1时,有
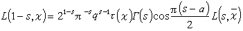
(4)当ⅹ是模q的原特征时,L(s,ⅹ)可解析开拓为整函数,且满足函数方程
,
式中
τ(ⅹ)为仅与ⅹ有关的常数,且满足
塣表ⅹ的共轭特征,即
(5)对任意的模q的特征ⅹ,有L(1,ⅹ)≠0。
(6)设ⅹ是模q的原特征,那么s=-(2n+α(ⅹ))(n =0,1,2,…)是L(s,ⅹ)的一级零点,称为“无聊零点”;L(s,ⅹ)可能有的其他零点(称为“非无聊零点”)一定都位于带形区域0≤σ≤1中;L(s,ⅹ)确有无穷多个非无聊零点。
(7)设T >0,以N(T,ⅹ)表 L(s,ⅹ)在区域0≤σ≤1,|t|≤T 中的零点个数。因此,当ⅹ 是模q的原特征和T≥2时,有
(8)设T>0,
,以N(α,T,ⅹ)表L(s,ⅹ)在区域α≤σ≤1,|t|≤T中的零点个数。再设
,其中Σ表对模q的所有特征求和。因此,当 T≥2时,有
。此结果已被改进和推广,通常称之为 L函数的零点密度定理。
(9)在直线σ=1上,L(s,ⅹ)≠0。由此,对任意固定的q,可推出算术级数中的素数定理。
(10) 存在绝对正常数X1,使得对任意固定的模q,在所有的函数L(s,ⅹ)(ⅹ mod q)中,仅可能除去一个例外函数外,均在区域
内无零点。如果这样的例外函数L(s,塣)存在,那么塣一定是模q 的实的非主特征,且 L(s,塣) 在上述区域内只有一个一级实零点戓 。这一性质是狄利克雷L函数与黎曼ζ函数的一个主要差别。研究对应于实特征的L函数的实零点,是L函数论的最重要问题之一。
A. 佩奇于1935年证明了:存在绝对正常数X2,使得对任意的实原特征ⅹ modq,q≥3,必有 L(1,ⅹ)≥X2q-1/2。由此可推出,存在绝对正常数X3,使得对任意的实特征 ⅹ mod q,q≥3,当
时,L(σ,ⅹ)≠0。
C.L.西格尔于1936年证明了:对任给的正数ε,存在正常数c3(ε),使得对任意的实原特征ⅹmodq, q≥3,必有
。由此推出,对任给正数ε,必有正常数 c4(ε),使得对任意的实特征 ⅹ modq,q≥3,当
时,L(σ,ⅹ)≠0。
C. L. 西格尔的结果虽然优于A. 佩奇的结果,但是常数X3(ε)和X4(ε)至今没有办法计算出来。
从性质⑩、、可推得有余项估计的算术级数中的素数定理(见素数分布)。类似于黎曼假设,有所谓广义黎曼假设,即猜测所有的狄利克雷L函数的非无聊零点都位于直线σ=1/2上,通常简记作GRH。大量的数值计算以及理论上的探讨都支持这一假设,但它至今还没有被证明或否定。从GRH可推出一系列重要的数论结果,虽然都是一些假设性的结果(其中有的已被无条件地证明了),但是却指出了研究 L函数零点的重要意义和方向。
- 参考书目
- K.Prachar,Primzahlverteilung,Springer-Verlag, Berlin,1957.
- H.Davenport,Multiplicative Number Theory,2nd ed.,Springer-Verlag, Berlin, 1980.