[拼音]:dianjiezhi youxiaochang
[外文]:effective field in dielectrics
外场存在时,电介质中作用在分子、原子上使之发生电极化的场称为有效场(或内场)。因为分子(原子)所产生的场不能使各该分子(原子)本身发生电极化,有效场(内场)不同于介质的宏观场,后者是外加场与介质中所有分子(原子)电极化所产生的场的总和。计算有效场(内场)时,必须把所讨论的分子(原子)排除。
历史上,首先系统地考虑电极化有效场的,是H.A.洛伦兹。他设想以所讨论的分子(原子)为中心,适当的长度为半径,在介质中作一球。球足够大,球外分子(原子)对中心的作用,只具长程性质,可作连续介质处理。而球内其他分子(原子)对中心的作用,则带有短程性,必须考虑介质的具体结构。当介质具有中心反演对称时,洛伦兹的计算指出,球内其他分子对中心分子的电极化作用互相抵消,而球外则可归结为空球表面的极化在中心所产生的场,即4πP/3(CGS制)或 P/3εo(SI制),其中P代表介质的电极化强度,εo是真空的介电常数。作用在中心分子上的有效场是
或
,
这叫做洛伦兹有效场或内场,其中Ei代表外加的宏观场。实践证明,在讨论原子的电子云畸变极化或离子的位移极化时,如果介质具有中心对称性,则洛伦兹有效场直接适用。如果介质不具对称中心,洛伦兹对有效场的考虑方法还是可行的,只不过球内其他分子对中心分子的作用,必须根据具体结构进行详细计算。但是,对于分子具固有电矩的极性物质,采用洛伦兹有效场方法计算极性液体(例如水)的介电常数,所得的理论值比实测值要大得多。L.昂萨格指出,这是由于洛伦兹的方法中过多地计算了周围分子的极化对于中心分子电矩转向极化作用的缘故。
昂萨格认为,极性液体介质中,使分子固有电矩发生转向极化的有效场不是洛伦兹场。原因是,中心分子固有电矩对周围其他分子所引起的感应极化,反作用于中心分子时,只能使中心分子发生电子云的畸变极化或离子的位移极化,决不能使中心分子电矩发生转向极化。因此,考虑中心分子固有电矩的转向极化时,必须确实地把中心分子排除,而且只能排除一个中心分子。换句话说,真正的空球是只包围一个点电矩分子的。
昂萨格在处理这个极其复杂的问题时,作了很大的简化假设。首先,他把极性液体的分子看作为一个点电偶极子位于空球的中心,并且假设这空球是处于连续介质中。这样,他采用宏观经典电动力学的一般方法来进行计算。虽然方法十分粗糙,但有一定的启发性。
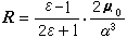
设想在一个半径为a的空球中心放着一点偶极矩μo,并假设这空球由介电常数为 ε的连续介质所包围。偶极矩μo使周围极化,在没有外加电场时,周围介质的感应极化在空球内产生一电场,称为反作用场 R。如果介质是均匀的,反作用场R与μo同向,自然不会使μo发生转向。再设想把中心电矩排除(即令μo=0)而加进一个外电场Ei,这时作用于空球内的电场,称为空球电场G。所以,当外电场存在时,作用于空球中心点偶极子上有效场为
E=G+R,
用CGS制表示时
,
。
显然,只有空球电场G才能使μo转向。为便于比较,将洛伦兹有效场加以改写得
。
对于极性介质,静态介电系数(即介电常数ε)比1大得多,洛伦兹有效场E
比空球电场G大得多。从而看出,洛伦兹的计算方法,在考虑极性液体介质的转向极化时,是不适用的。
对于极性不强的液体介质,按昂萨格方法所计算的结果同实验尚相符合。就这方面说,昂萨格模型比洛伦兹模型有所改进,但昂萨格方法中完全忽略了介质的微观结构,不考虑分子间的短程作用;从这角度看,昂萨格方法的缺点更为严重。
按昂萨格方法计算有效场(内场)时,必须把所讨论的分子(原子)排除。问题恰恰出在所要排除的是一个微观的分子(原子),它的排除必然引起周围的畸变,而这种畸变又依赖于介质的结构。因此,有效场(内场)问题甚为复杂,尚缺乏令人满意的理论。