[拼音]:haiyang tielei
[外文]:marine terpenoids
海洋生物产生的萜类。为一类最常见的海洋天然有机化合物,主要来自海藻、海绵、腔肠动物和软体动物。与陆地天然萜类一样,它们的碳架可以看成是以异戊二烯的碳架为单元,“首-尾”相联而形成的。
特点
海洋萜类与陆地萜类明显不同:
(1)在陆地生物体中,主要合成单萜,可产生很多常见的有香味的植物挥发油;在海洋生物体内主要生成分子量较高的萜类,特别是二萜、二倍半萜。
(2)海洋萜类分子中含有特殊的官能团,例如卤素、异氰基(-N呏C)和呋喃环。
(3)海洋萜类,特别是环状萜类的分子结构特殊。这些表明海洋萜类的生物合成途径有卤素的作用(常见的是溴),特别是卤素参与萜类的环化过程,生成各种各样的卤代萜类。目前已发现的海洋萜类中仅倍半萜就约有400种,其中很多具有抗癌、抗菌和其他活性。
分类
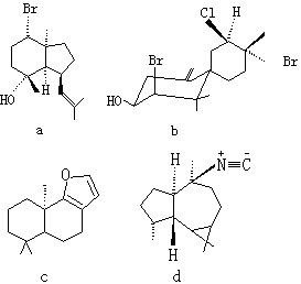
海洋倍半萜为由三个异戊二烯单元“首-尾”相联形成的化合物。通常,其分子碳架含有15个碳原子。海洋倍半萜含有与碳原子共价(见共价键)结合的卤素,此外含有异氰基和呋喃环。已发现的含卤素萜类化合物大多是倍半萜。至1978年止,从海藻中已分离出60多种倍半萜,其中红藻的最普通代谢物是含卤倍半萜,红藻中又以凹顶藻中含卤倍半萜最为丰富,几乎大多数卤化倍半萜品种都可在不同品种的凹顶藻中找到。例如,奥甫斯特醇(见结构式a)来源于凹顶藻,有抗金黄葡萄球菌活性;依苏布斯醇(b)也来源于凹顶藻。此外,帕力斯圣辛A(c)和阿斯逊腈-2(d)来源于海绵。
海洋二萜
为由 4个异戊二烯单元“首-尾”相联形成的化合物。通常,其分子碳架含有20个碳原子,是最常见的海洋萜类化合物。海洋二萜多数来自海藻、珊瑚,少数来自海绵。海洋二萜与陆地生物的二萜有显著不同的结构特点。很多陆地二萜在生物体内的合成都是由链状的牻牛儿醇通过质子诱导以“反-反-反”的方式环化而成的,而海洋二萜只有少数例子遵循这一途径。常见的有以下几类特殊的化合物:
(1)降解二萜,由含20个碳原子的碳架在生物体内经某种途径失去一个或几个碳原子而形成,例如,含有19或18个碳原子的链状降解二萜和环状降解二萜;
(2)一种链状二萜在其末端接有芳香母体(e)或碳水化合物残基;
(3)按照新的生物合成机理产生的复杂的环状系统的二萜,例如,逊尼辛(f)来源于软珊瑚,克拉辛乙酸酯(g)和不里阿林A(h)来源于柳珊瑚。
海洋二倍半萜为由 5个异戊二烯单元“首-尾”相联形成的化合物,通常其分子碳架含有25个碳原子。目前,海绵是自然界中二倍半萜最丰富的源泉。二倍半萜在陆地生物中极为罕见,只在昆虫的保护蜡和真菌中发现过。从海绵中得到的二倍半萜主要有两类:
(1)基本上是链状的二倍半萜,其一端带有一个呋喃环,另一端带有特窗酸母体,如化合物i;
(2)有新的骨架的四环或五环二倍半萜,如化合物j。近来又发现了不属于上述两类的新的单环二倍半萜。