[拼音]:yedi moxing
[外文]:liquid-drop model
从原子核内核子-核子强耦合这一性质出发而建立的一种原子核模型。这个模型在一定程度上能够阐明原子核的静态性质和动力学规律,如质量规律、表面振动、变形核的转动以及核裂变等。
建立液滴模型时有两个主要的事实依据,一个是原子核每核子的平均结合能几乎是常数,即结合能A正比于核子数A,显示了核力的饱和性(见核力);另一个是原子核的体积正比于核子数,即核物质的密度近似是个常数(见原子核),显示了原子核基本上是不可压缩的。通过同液体类比,最初提出的液滴模型只是将原子核视为一个带电荷的理想液滴,根据液滴的运动规律对原子核进行动力学描述。以后又逐步增加了一些新自由度,如将质子、中子分别看成两类流体,甚至将自旋取向不同也看成不同流体,并引入可压缩性、粘滞性等性质。液滴模型主要包括以下几个方面。
球形核的表面振动一个半径为R0的球形液滴,当它发生形变时,在球坐标中,其表面曲率半径R(θ,嗞)可用参量
来表示
(1)
式中Y
(θ,嗞)为球谐函数,μ从-λ到λ。
在初级近似下,可以不考虑可压缩性。因此,N可取为保持体积不变的因子:
(2)
准确到二级近似,表面振动的动能、势能分别表示为
其中
为恢复力参量,
为质量参量。而表面振动能为
(3)
在常密度理想流体的非旋流动的情况下,
(4)
。 (5)
式中ρ是质量密度,而
(6)
同液滴的表面能相联系,S为表面张力系数,b1=4πr娿S≈17MeV,r0=1.24fm,
(7)
同液滴的库仑能相联系,Z为核电荷数,e为电子电荷。
所以,液滴模型下的振动圆频率为
(8)
同原子核中实际存在的振动模式相比,公式(8)给的值偏大,而且不能给出实验值所表现出的壳效应。
核裂变机制1939年,N.玻尔和J.A.惠勒基于液滴模型提出的一种核裂变机制,以后又有进一步的发展。
由式(3)可知,随着形变参量
的变化,原子核(带电的液滴)的势能将随之发生变化。如仅考虑λ=2的小形变,则势能为
(9)
显然,当C2>0时,球形液滴是稳定的,而当C2<0时,球形液滴不稳定,会发生大形变以至裂变。
由式(6)、(7)可得球形液滴的稳定条件为
。 (10)
液滴模型还预期,在大形变时,有利于库仑排斥的长程性质,所以,尽管一些核满足条件(10),但在大形变时,仍可能是不稳定的。
下页图表示了液滴发生裂变时鞍点表面形状(见核裂变)。x称为可裂变度参量,用来衡量核发生裂变的难易程度。其定义为
(11)
λ=2时,x=C2(2)/C2(1)。很明显,x≥1的核因对裂变不稳定而不能存在。
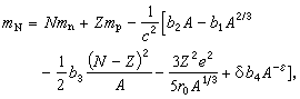
半经验的质量公式和原子核结合能
原子核的质量mN可表为
(12)
其中A为该核的结合能,N为中子数,mn为中子质量,mp为质子质量,с为真空中的光速。基于液滴模型,可以得到结合能中的三项。
(1)体积能。由于核密度具有饱和性,即核中心密度在原子量A塼20以后近似保持不变,因此,可以期望结合能中主要项为体积能b2A。
(2)表面能。由于表面核子受到周围核子的吸引比内部核子所受到的吸引小,所以对体积能应有一修正,它应正比于表面面积4πR娿=4πr娿A2/3,因此,结合能应包含表面能项-b1A2/3。
(3)库仑能。均匀的带电液滴必具有库仑能。它对结合能的贡献为-3(Ze)2/5R0。
然而,原子核结合能中还有一些内容是液滴模型所不能给出的,它们是:
(4)对称能。这一能量来源于原子核有N≈Z的趋势。从原则上讲,它是泡利不相容原理及核力性质的结果,偏离N≈Z的首要项可表为
(5)对能。在原子核中,偶偶核特别稳定,而稳定的奇奇核极为稀少。原子核质量有明显的奇偶差,原子核内,核子有成对的倾向。所以在结合能中必须包含对能项
。而
于是,原子核的质量公式可表为
(13)
公式中的系数可由各种模型导出,但考虑到原子核的复杂性,通常由它与实验的质量值的拟合来定出,其值为
b2=15.56MeV,b1=17.23MeV,
b3=46.57MeV,b4=12MeV,
r0=1.24fm, ε=0.5。
半经验的质量公式的形式因导出方法而有所不同。更为普遍的半经验的质量公式,还要考虑壳层修正、原子核形变及一些高级项。
关于由早期的液滴模型发展到包含几个非理想流体的液滴模型,并应用于巨共振的内容见巨多极共振。