[拼音]:fangshexing shouming
[外文]:radioactive life
放射性核素存活时间的久暂、用半衰期、平均寿命来描述。每一种放射性核素都有其特征寿命。
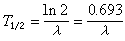
半衰期在单一的放射性衰变过程中,活度减少到原有值一半所经历的时间,用T┩表示。它是表示放射性核素性质的特征量,1904年由E.卢瑟福提出:
式中 λ为衰变常数(见放射性衰变规律)。由于是指数衰减,经历两个半衰期后活度(或原子数)减少为原来值的1/4,而不是零。各种放射性核素的半衰期长短不同,如钋212的半衰期为0.3微秒,钕144的半衰期为2.1×1015年,相差1029倍。对中等长度的半衰期(1分~1年)可以通过测量试样活度衰减过程,然后利用数据作图计算得到;对于长半衰期(T┩>1年)可以利用子体的平衡活度、比活度等方法测定;对于短半衰期(T┩<1分)可以用转轮法、飞行时间法、延迟符合等方法测定。
理论上放射性核素的活度(或原子数)只有经历无限长时间后才变为零。实际上经过7个半衰期,活度就降低为原来值的(1/2)7=1/128,一般可以忽略。
平均寿命某种放射性核素所有原子存活寿命的平均值,用τ表示。1904年由F.索迪提出。
当一种放射性核素以两种或多种类型衰变时,称为分支衰变。这时放射性核素的λ=λ1+λ2…,λ1、λ2、…称为分支衰变常数。与此相应的 (T┩)1=0.693/λ1、(T┩)2=0.693/λ2、…称为分支半衰期。