[拼音]:shuxue qiwang
[外文]:mathematical expectation
又称期望或均值,是随机变量按概率的加权平均,表征其概率分布的中心位置。数学期望是概率论早期发展中就已产生的一个概念。当时研究的概率问题大多与赌博有关。假如某人在一局赌博中面临如下的情况:在总共m+n种等可能出现的结果中,有m种结果可赢得α,其余n种结果可赢得b), 则
就是他在该局赌博中所能期望的收入。数学期望的这种初始形式早在1657年即由荷兰数学家C.惠更斯明确提出。它是简单算术平均的一种推广。
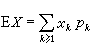
设x为离散型随机变量,它取值x0,x1,…的概率分别为p1,p2,…,则当级数
时,定义它的期望为
。这里之所以要求级数绝对收敛,是因为作为期望的这种平均,不应当依赖于求和的次序。若x 为连续型随机变量,其密度函数为p(x),则当积分
时,定义它的期望为
。在一般场合,设x是概率空间(Ω,F,p)上的随机变量,其分布函数为F(x),则当
时,定义x的期望为
式中
是斯蒂尔杰斯积分;
或
是随机变量x 在Ω上对概率测度p的积分。然而,并非所有的随机变量都具有期望。
随机变量的期望,有下列性质:E(x+Y)=Ex+EY;若把常数α看作随机变量,则Eα=α;若x≥0,则Ex≥0;若x与Y独立,则E(XY)=Ex·EY;若随机变量x1,x2,…,xn有联合分布函数F(x1,x2,…,xn),则对一类n元函数ƒ(x1,x2,…,xn)(称为可积的n元波莱尔可测函数,它包括所有可积的初等函数和连续函数),有
若Z=x+iY为复随机变量,则定义其数学期望为EZ=Ex+iEY。
上述数学期望的概念也可推广至随机向量的情形。一个随机向量
的数学期望(EX定义为以其各分量xj的数学期望为分量的向量,即
,也称为X的均值向量。它也具有一般期望所具有的类似性质。