[拼音]:chudeng hanshu
[外文]:elementary function
包括代数函数和超越函数。基本初等函数是实变量或复变量的指数函数、对数函数、幂函数、三角函数和反三角函数经过有限次四则运算及有限次复合后所构成的函数类。这是分析学中最常见的函数,在研究函数的一般理论中起着很重要的作用。
实变量初等函数
定义域为实数域的初等函数。
有理函数实系数多项式
称为整有理函数。其中最简单的是线性函数 y=α0+α1x,它的图形是过y轴上y=α0点的斜率为α1的直线。二次整有理函数y=α0+α1x+α2x2的图形为抛物线。两个整有理函数之比
(1)
称为分式有理函数。其中最简单的是
其图形为双曲线。整有理函数和分式有理函数统称有理函数。有理函数起源于代数学。
求有理函数的反函数则可产生代数函数。如y=xn的反函数为
三角函数和反三角函数
这是起源于几何学的最简单的超越函数。高等分析学中计量角度的方法是所谓弧度法,即以单位圆周上的弧段量度相应的圆心角。三角函数是sinx、cosx以及由它们导出的


和
它们的定义如图1
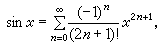
所示。sinx和cosx在 x=0处的泰勒展式为
(2)
(3)
它们的收敛半径为
。sinx、cosx、tanx、cotx 、secx 、cosecx的反函数分别为 arcsinx、 arccosx、 arctanx、arccotx、arcsecx、arccosecx(或记为sin-1x、 cos-1x、tan-1x、cot-1x、sec-1x、cosec-1x),并称为反三角函数。
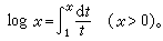
设α为一正数,则y=αz表示以α为底的指数函数(图2)。其反函数y=logαx称为以α为底的对数函数(图3)。特别当α=e时称y=ez(或expx)和y=logαx=lnx(或logx)为指数函数和对数函数。logx能由下面的积分式定义
它表示由双曲线
、下由t轴、左右分别由t=1和t=x两直线所围的面积。由此可知当x在正实轴上变化时,y=logx取值在实轴上,且log1=0。它是x的增函数,导数
。此外logx满足加法定理,即log(x1·x2)=logx1+logx2。
对数函数的反函数指数函数ex是定义在实轴上取值于正实数的增函数,且 e0=1。 ex的导数与它本身相同。此外ex满足乘法定理,即
。ex在x=0处的泰勒展式为
。 (4)
由指数函数经有理运算可导出双曲函数。其性质与三角函数很相似,并以 sinhx、coshx、tanhx、cothx、sechx、cosechx表示之,其定义如下:
分别称为双曲正弦(图4)和双曲余弦(图5)。像三角函数一样,由它们导出的双曲正切(图6)tanhx=sinhx/coshx,双曲余切(图7)cothx=coshx/sinhx等都称为双曲函数。它们有如下的几何解释,即双曲线x2-y2=1(x>0)上取一点M,又令O为原点,N=(1,0),将ON,OM和双曲线上的弧
所围面积记为θ/2,点M的坐标视为θ的函数,并记为coshθ和sinhθ,即有表示式(5)。
复变量初等函数
定义域为复数域的初等函数。
有理函数、幂函数和根式函数两个复系数的多项式之比为有理函数,它实现扩充的复平面
到自身的解析映射。分式线性函数
是一个特殊的有理函数,它在复分析中有重要的意义。另一个特殊情形是幂函数w=zn,n 是自然数,它在全平面是解析的,且
。因此当n≥2时,它在全平面除z=0以外到处实现共形映射(保角映射)。它将圆周丨z丨= r变为圆周|w|=rn,将射线argz=θ变为射线argw=nθ。任何一个区域,只要该区域中任两点的辐角差小于2π/n,它就是w=zn的单叶性区域。幂函数 w=zn的反函数为根式函数
,它有n 个值,
(k=0,1,…,n-1),称为它的分支。它们在任何区域θ1

。它们的导数为
。
在指数函数式(4)中将x换为复变量z,便得到复变量的指数函数w=ez,并且
,显然有
(k为整数)。
复指数函数有类似于实指数函数的性质:ez是一整函数且对任何复数z,ez≠0;它满足乘法定理:
;ez以2kπi为周期,即
;并且它的导数与本身相同,即
。函数w=ez在全平面实现共形映射。任何一个区域,只要对区域内任两点,其虚部之差小于2π,它就是ez的单叶性区域。例如
,
指数函数把直线x=x0变为圆周
,把直线y=y0变为射线argw=y0,因而把区域Sk变为区域 0
2kπ)(k 为整数),称为它的分支。每一个分支在区域θ0
。对数函数把这个区域单叶地变为带形区域θ0
。
对于复数α,幂函数zα定义为
。一般来说,它是多值函数。特别当α=n 是正整数时,它就是幂函数w=zn;当
,n为正整数,它就是根式函数
。
这些函数是作为相应的实变量函数的解析开拓而得。例如将(2)和(3)式中变量x换为复变量 z,则得到sinz和 cosz,它们是整函数。tan z=sinz/cosz, cotz=cosz/sinz 等是z的亚纯函数。它们能表示为
,
,
。
它们具有实三角函数的很多类似性质:周期性、微商性质、三角恒等式等。但丨sinz丨≤1,丨cosz丨≤1不是对任何z都成立。由于三角函数与指数函数密切联系,因此应用时很方便。sin z的单叶性区域可取
,
,
或
。
它将 Gk单叶并共形地映为全平面上除去实轴上线段[-1,1]和负虚轴后得到的区域;它将Rk单叶地并共形地映为全平面除去实轴上两条射线(-
,-1]和[1,
)后得到的区域。类似地可以指出cosz的单叶性区域。
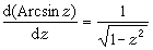
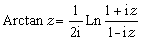
w=Arcsinz,w=Arccosz,w=Arctanz分别是 sinz,cosz和tanz的反函数,并称为反三角函数。它们能由对数函数合成,即可表为
,
,
等,它们都是多值函数。在适当的区域中确定了单值解析分支后,就有
,
,
等。像实双曲函数一样,由指数函数能合成双曲函数,
,
等为双曲函数。由定义它们与三角函数有下面的关系:
。
并因此有
。此外
。
w=Arcsinhz,w=Arccoshz分别是sinhz和coshz的反函数,并称为反双曲函数。它们能由对数函数合成,即可表为
,
。
一般初等函数的导数还是初等函数,但初等函数的不定积分不一定是初等函数。另外初等函数的反函数不一定是初等函数。