超铀元素

原子序数在铀(Z=92)以后的所有元素,也称铀后元素。与此类似,可以将94号元素钚以后的元素称为超钚元素,96号元素锔以后的元素称为超锔元素,103号元素铹以后的元素称为超铹元素。超铀元素中包括了部分锕系元素,锕系元素之后(即铹以后)的元素称为锕系后元素(transactinide elements)。

发现

元素周期表在预示未发现的新元素和它们的性质方面至今仍起着重要的作用,而超铀元素的发现标志着人类对周期表认识的不断深化。随着超铀元素研究的深入,G.T.西博格1944年提出的锕系理论认为,在锕之后存在一个类似于镧系元素系列的锕系元素系列,它从89号元素锕开始到103号元素铹为止。在锕系理论的指导下相继发现了钚以后的新元素。他借助于元素周期表和锕系理论,还预言了锕系后元素的性质,如104号元素的化学性质与铪相似,105号元素类似钽,106号元素类似钨,107号元素类似铼等等;大约在121号元素至152号元素之间,应该有一个在某些方面类似锕系元素的新的过渡元素系列,称为超锕系元素(superactinide elements)。

超铀元素都是通过人工核反应发现和制备的,后来才在自然界中找到其中个别核素。如在氟碳铈镧矿中发现微量钚244,在铀矿中发现微量钚239和镎237。自1940年制得第一个超铀元素镎(Z=93)以来,到1984年已合成出钚、镅、锔、锫、锎、锿、镄、钔、锘、铹、104号元素、105号元素、106号元素、107号元素、108号元素、109号元素。(见人工放射性元素)

为了避免在元素命名上的争论,1977年8月国际纯粹化学与应用化学联合会建议从 100号元素起采用系统命名法,以拉丁和希腊文混合的数字词头 nil、un、bi、tri、quad、pent、hex、sept、oct和enn代表0~9十个数字,如104号元素的名称为unnilquadium。

性质

核性质

超铀元素的核性质具有以下特点:

(1)超铀元素的所有核素都是放射性的,以不同的方式衰变,如衰变时放出α粒子、β粒子等;

(2)随着原子序数的增加,超铀元素最长寿命的同位素的半衰期越来越短(表1),这表明随着原子序数的增加,超铀元素的生产和对其性质的研究变得越来越困难;

(3)一些超铀核素以自发裂变方式衰变,这种现象是超铀核素所独有的,锎252是重核自发裂变研究得最多的核素,对于锔250、锎254、镄256和260104等核素来说,自发裂变是主要的衰变方式。

图

物理和化学性质

从镎到锫的所有元素均已制得金属形式。超锫金属尚未制得,这不仅是由于制备的困难,还由于获得这些元素的数量有限和它们具有强放射性的缘故。已制得的超铀元素金属都是有银白色光泽的脆性碱性金属,密度很高,易溶于稀酸;能形成熔点较低的多晶型变体,如钚在室温到熔点(640℃)之间有六种同素异形体。

超铀元素具有多种价态,且高价稳定性随原子序数的增加而下降,以致超钚元素的+3价是最稳定的。超铀元素的常见氧化态见表2。

图

在已发现的超铀元素中包括一部分锕系元素(93~103号元素)和一部分锕系后元素(104~109号元素)。对这些超铀元素化学性质的研究深度取决于制备各个元素的难易程度。关于镎和钚的化学性质的研究已经十分详细;镅、锔、锫和锎的研究也有相当的深度;关于锎以后的各个元素的化学性质还研究得很少。

镎、钚和镅的离子有多种价态而且有比较大的离子半径,它们的离子在水溶液中的化学行为比较复杂,例如在酸性水溶液中可以四种阳离子形式存在:M3+、M4+、MO娚和MO卂。在碱溶液中镎和钚还以+7价存在。

由于镎、钚和镅离子的不同离子对的氧化-还原电位值相近,它们的一些离子[如镎(Ⅴ)、钚(Ⅳ)、钚(Ⅴ)、镅(Ⅳ)和镅(Ⅴ)]在水溶液中发生歧化反应。以钚(Ⅳ)为例:3Pu4++2H2O公式 符号2Pu3++PuO卂+4H+此反应由以下两步反应组成:Pu4++Pu4++2H2O公式 符号Pu3++PuO娚+4H+(慢)Pu4++PuO娚公式 符号Pu3++PuO卂 (快)因此,Pu4+溶液在放置时由于歧化形成含有Pu3+、Pu4+、PuO娚 和少量PuO卂 的混合溶液。歧化反应与氢离子浓度、形成络合物的能力和温度等因素有关。

镎和钚的离子进行水解和形成络合物的程度按以下次序减小:M4+>MO卂>M3+>MO娚。

由超铀元素自身放出的 α射线和γ射线引起离子的自辐解化学效应,也是其水溶液性质的一个特点。

合成

超铀元素的合成都是通过人工核反应来完成的。合成方法有三类:反应堆辐照、带电粒子核反应和热核爆炸。

反应堆辐照

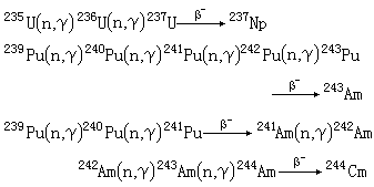
这是获得可称量超铀元素的方法。它是将合适的重元素靶置于反应堆中辐照,起始物质经过俘获中子、β-衰变,生成原子序数高于起始物质的新元素,例如:

公式 符号 公式 符号

由于这些新元素自身的放射性衰变及在中子作用下引起的核裂变,生成重超铀元素的数量将受到限制。用反应堆辐照合成超铀元素的产量与反应堆的中子注量率、中子能谱、靶的核反应截面等参数有关。

钚 239是反应堆辐照生产的超铀元素中最重要的核素。它是铀238俘获中子后经连续两次β-衰变形成的:

公式 符号

一座轻水堆每1000兆瓦电功率每年生产约250千克钚,主要是钚 239。钚239继续俘获中子可生成质量数为240~244的重钚同位素,因而钚同位素的组成很大程度取决于起始物质铀238在反应堆中照射的时间。

在用铀作燃料的反应堆中,除钚外还生成镎、镅和锔的同位素,其生成核反应如下:

公式 符号

合成超锔元素通常用钚作为起始物质,按以下三个步骤进行:

(1)钚239转变为钚242、镅243和锔244〔反应堆中子注量率约(3~4)×1014厘米-2·秒-1〕;

(2)照射钚242、镅243和锔244,合成锎同位素(反应堆中子注量率约5×1015厘米-2·秒-1);

(3)照射锎,合成锿和镄的同位素(反应堆中子注量率约5×1015厘米-2·秒-1)。按此程序钚 239靶转变为锎 252的产额约 0.3%,余下的99.7%都裂变掉了。而1克锎252照射30天约生成0.6毫克锿253、4毫克锿254和0.4毫克镄。由于镄257俘获中子后生成的镄258的自发裂变半衰期只有0.38毫秒,它在再次俘获中子生成镄259之前就已衰变掉了,所以用反应堆辐照能制得的最重核素是镄257。

据估计,超铀元素的年生产量,钚为吨量级,镎、镅、锔为千克量,锎为克量,锫为100毫克量和锿为毫克量。

带电粒子核反应

1940年美国科学家利用核反应公式 符号发现了第一个超铀元素镎,随后借助用重离子加速器加速到高能量的带电粒子轰击重元素靶核发生的核反应,合成了多种超铀元素。然而,利用这类核反应所生成的新元素的数量是不可称量的,有时甚至只有几个或一个原子。例如,1982年9月联邦德国科学家在120米长的重离子直线加速器上用加速的铁原子轰击铋靶时发现了新元素266109,在长达一个星期的轰击实验中只获得一个原子。

纵观超铀元素的发现历程可以看到,带电粒子核反应对发现新的超铀元素起着重要的作用,对今后合成更重的超铀元素也是最有希望的。重离子核反应合成重超铀元素的优点,在于可一步生成原子序数比靶核高许多的元素。

热核爆炸

1952年11月在比基尼环礁上的“Mike”热核试验中首次发现质量数为253的99号元素锿 (253Es)和质量数为255的100号元素镄(255Fm),这一事实为探索利用热核爆炸法合成超铀元素提供了可能性。利用热核爆炸生产超铀元素具有中子注量率很高、靶核可在瞬时照射内连续俘获多个中子的特点,因而能生成一些在反应堆中难以得到的富中子核素,如钚245、镅246和锔248。热核爆炸法生产超铀元素的主要问题是未找到从大量熔岩中分离、纯化和回收微量超铀元素的经济有效的方法,所以尚无实用价值。

应用

超铀元素在军事上和科学技术许多领域中的应用都与它们特殊的核性质有关,如核裂变、衰变时放出α粒子、γ射线和自发裂变时释放中子等。很显然,其实用性也与某个核素能得到的数量有关。应用范围已从军事、核动力工业扩大到航天、气象学、生物学和医学。

核燃料

钚的同位素钚 239能在反应堆中大量生产。钚239具有较高的热中子裂变截面(742.5靶恩),它的可裂变性质适合用作反应堆的核燃料和核武器的装料。钚作为快中子增殖堆的核燃料,在充分利用天然铀资源上具有更大的意义,因为在这种反应堆中由铀238生成的钚比消耗的钚更多,这就意味着快中子增殖堆净消耗的是不为热中子裂变的铀238。

除钚239外,还有一些超铀核素的裂变截面也较大。例如锔245、锎249、锎251和镅的同质异能素242Amm,其中242Amm的热中子裂变截面最大,为6600靶恩。但是,由于这些超铀核素用反应堆辐照法生产数量很少,还不能用作核燃料。

能源

用放射性核素作能源是利用其在衰变过程中释放的热能或将释放的热能转变为电能。这种同位素电池的应用已日益增加,它要求放射性核素是纯的β-或α发射体(没有γ辐射)、比功率高、半衰期为 100天至100年和生产方法简单、 价廉。已用作能源的超铀核素有钚238、锔242和锔244。例如3.6千克钚 238可制造一个56瓦的同位素电池,7.5克锔242可制造一个20瓦的同位素电池。钚238也已用于地面的电源系统中,例如海底电缆的增音器、航海浮标或者遥控转播电台的电源中。钚 238还用作心脏起搏器和人造器官(心脏和肾脏等器官)中的动力源。

放射源

超铀核素用作放射源时,主要是利用它们衰变时放出的α粒子、 γ射线和中子。重要的核素有钚238、镅241和锎252。锎252发生自发裂变衰变时放出中子,其中子发射率高达2.34×1012-1·秒-1。锎252中子源能补充反应堆或加速器,已广泛用于中子照相、活化分析、中子衍射、中子物理实验等。在各种分析仪器中,镅 241正变得日益重要。它放出的60千电子伏的γ射线,在测定痕量元素时,足以激发由钙到钡的各个元素的X射线荧光。在测定密度的仪器中也用了镅241。利用镅241放出的α粒子使空气电离而制成的烟雾探测器,可用来及时发出火警。此外,一些超铀核素如钚238、钚239、镅241、锔242和锔244可通过与轻元素锂、铍发生(α,n)反应放出中子而用于制作中子源。一个镅241-铍源中,每居里放射性核素产生的中子为 2.0×106-1,一个含有0.63克高纯锔 244氧化物的锔-铍中子源(铍和锔的原子比为100∶1)放出的中子为1.25×108-1

参考书目
  1. C.克勒尔著,《超铀元素化学》编译组译:《超铀元素化学》,原子能出版社,北京,1977。(C. Keller,The Chemistry of the Transuranium Elements,Verlag Chemie, Weinheim, 1971.)