[拼音]:qiangzi jiegou
[外文]:hadronic structure
强子曾经被看成基本粒子,随着粒子物理学的进展,人们认识到,强子是有着内部结构的粒子。
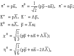
最早提出强子的结构模型的是E.费密和杨振宁。1949年,他们提出,当时已知的所有原子核及介子,都是由质子p、中子n以及它们的反粒子(圴、嬞)构成的。例如,π介子是由处于自旋单态及轨道运动的S态(1S0态)的正反核子构成的同位旋三重态:
由正反核子还可以构成1So的同位旋单态或3S1的同位旋单态或三重态。具有这些量子数的粒子在1949年尚未被发现,但是在后来的实验中被找到了。
在费密-杨模型中只有非奇异的介子及重子,因为核子不具有奇异数,由之不能构造成奇异粒子。
1955年,日本物理学家坂田昌一推广了费密-杨模型,提出所有的强子都是由质子p、中子n和超子Λ以及它们的反粒子圴、嬞、揈构成的坂田模型。在坂田模型中,质量最低的一些介子的构成是
在此后的实验检验中,坂田模型对介子的分类,介子的质量、自旋、宇称等性质的描述较成功,但对重子的分类则不能令人满意。例如
这五种重子,在坂田模型中是分别由(正反核子+Λ)和(反核子+ 2Λ)构成的,而这些可能的组合共有27种!也就是说,坂田模型预言太多的重子。此外,坂田模型对重子的自旋、宇称等性质的描述也不够好。
强子具有内部结构的实验上的迹象,最早是在1956年由能量约为1GeV的电子在核子上的散射实验中显示出来的。这些关于核子的电磁形状因子的实验表明,核子不是一个点,而是在半径为0.8×10-13cm的范围内有着确定的电和磁的分布的物理实体。
1961年,M.盖耳-曼和Y.奈曼提出了用SU(3)对称性来对强子进行分类的“八重法”,这是沿着费密-杨-坂田模型方向的一个重大进展。在物理上,费密-杨-坂田模型主要只考虑了强子的同位旋对称性质,而除了同位旋之外,强子还有另外一个重要的内部量子数──超荷,这两个量子数与粒子的电荷有着确定的关系。这个关系是不能自动在费密-杨-坂田模型中出现的。要做到这一点,就必须考虑更高的对称性,这就是盖耳-曼和奈曼提出的SU(3)对称性。八重法分类,就是粒子物理中的周期表,不但当时已经发现的粒子在八重法分类中都能有自己的位置,八重法分类还准确地预言了一些新的粒子,其中最著名的是重子Ω-,它后来在1964年被发现。八重法分类很好地说明了强子的自旋、宇称、电荷、奇异数及质量等等一系列性质的规律性。
SU(3)对称性的物理基础是什么
SU(3)群的基础表示是三维的,在物理上它对应着什么,介子和重子都不属于SU(3)群的基础表示。最初盖耳-曼认为:这种SU(3)群的基础表示的三重态仅仅是描述强子理论的数学框架中的一个组成部分,代表三种虚构的“轻子”──Ⅴ、e、μ。到1964年,粒子的数目增加至近百,而且新粒子发现的势头还是有增无已,这使得盖耳-曼和G.兹韦克提出和SU(3)群的基础表示相对应的是三种粒子。盖耳-曼还给它们起了一个从文学著作中借来的名字──夸克,表明夸克只有三种。现在习惯把它们记作 u、d、s。它们是自旋为1/2的粒子,其性质见下表。
在夸克模型里,所有强子都是由夸克和它们的反粒子组成的,例如,质子由三个夸克(uud)组成,中子由三个夸克(udd)组成,π+介子由正反夸克(u廀)组成,π-介子由正反夸克(dū)组成,等等。从夸克假设提出之后,物理学家一直在找寻自由的夸克,但迄今尚未有被确证为成功的报道。
粒子的性质可以分为两类。一类称为静态性质,例如质量、自旋、奇异数、同位旋、重子数、电荷等;另一类称为动态性质,例如寿命,衰变宽度、形状因子、截面、衰变分支比等,它们与粒子在不同的相互作用下的变化过程有关。粒子物理实验的大量资料是与后者有关的。SU(3) 夸克模型在解释粒子的静态性质上取得很大的成功。但在解释粒子的动态性质上则未涉及。
1965年,北京基本粒子理论组提出层子模型来研究粒子的动态性质。层子模型的主要思想是:
(1)物质结构有无限的层次,在粒子层次上的构成组分是层子。但层子并不是物质最终的组成部分,可能包含更深层次的结构。因此层子的种类也可能不止三种。强子是层子或层子与反层子的束缚态。强子所参与的相互作用归结为层子所参与的相互作用。
(2)要解释强子的动态性质,只考虑对称性质是不够的,必须计及强子的内部结构。在最终建立起层子之间的动力学理论之前,可以通过表达层子在强子内部运动的波函数来着手研究,因为相当一部分的动力学的信息,包含在反映强子内部结构的波函数中。
(3)由于强子是层子或反层子的束缚态,不能当作点粒子处理,因此要发展计算含束缚态的矩阵元的方法,自洽地处理束缚态的内部运动波函数。
(4)层子在强子内部的运动,可以作非相对论近似,但强子作为一个整体运动,必须具有相对论协变的性质。
(5)不同的强子的动态性质,通过对称性及内部运动波函数有着一定的关系。
层子模型是层子间动力学基本理论建立前的一个较好的强子结构模型理论。它成功地说明当时粒子物理实验数据的一些主要方面;通过强子内部结构波函数,将电磁相互作用过程和弱相互作用过程联系起来;通过层子所参与的相互作用将介子和重子的性质联系起来。纷繁的粒子物理现象开始呈现出有机联系的、统一的图像。
在60和70年代,建成了一批能量更高、束流更强、性能更好的加速器。虽然在这些加速器上没有找到自由夸克,但是它们对研究强子的结构起了重要的作用。1968年用能量高达 20GeV的电子作为探针来研究质子的内部结构的电子深度非弹性散射实验中发现,大角度散射的截面比原来想象的要大得多,这意味着质子内部电荷有着点状的结构,另外的一些迹象还表明,这些点状的结构在质子里可以认为是自由的。类似的实验后来也在中子上进行,得到相同的结论。在70年代,进行了用高能量的中微子作为探针来研究质子和中子的内部结构的中微子深度非弹性散射实验,也得到核子里存在有点状的、近似自由的和质量不大的结构的结论(见深度非弹性散射)。
1974年,丁肇中及B.里希特等分别发现了一个新粒子J(或称ψ),它有着非常独特的性质,显然不能由上表所示的三个夸克u、d、s及其反粒子构成,而只能以它由一个新的夸克с及其反粒子婔构成得到解释。这个新的夸克被称为粲夸克,有着一种新的量子数──粲数,它的电荷是
。这第四个夸克及粲数的存在,不久便由一系列的新粒子ψ′、ψ″、D、F、ηc、Λc等的发现得到更多的证据。
1977年,L.M.莱德曼等发现了又一个独特的新粒子墝,它的性质只能以它是由一种新的夸克b及其反粒子姼构成得到解释。这第五个夸克被称为底夸克,它的电荷是
,带有一种新的量子数──底数。这个新的夸克及底数的存在,近年由新粒子墝′、墝″以及B介子等的发现得到更多的证据。1984年在欧洲核子中心(CERN)发现了可能存在有第六个夸克的迹象。这种夸克称为顶夸克,记作t,预计它的电荷为
,带有一种新的量子数──顶数。
早在讨论层子模型时就知道,夸克必须具有一种新的性质,才能解决夸克的自旋统计问题,例如 Ω-重子,是由三个处在轨道运动为s态的s夸克构成的,但这是明显违背自旋为1/2的粒子必须服从的量子力学的泡利不相容原理的。自旋为半整数的粒子称为费密子。按照泡利不相容原理,系统里处在一定运动状态的费密子,只能有一个,不能有三个相同的费密子(s夸克)处在相同的运动状态中。后来引入夸克具有一个新的量子数──色量子数,或即夸克带有“色荷”的概念,来解决这个矛盾。色荷是与电荷类比的概念,夸克一共有三种可能的色荷。夸克的电荷和色荷,可以由正负电子湮没成为强子的总截面的大小加以验证。实验的结果支持上述关于(u,d,s,c,b)五种夸克的电荷及色荷的假设。
1973年,建立了描述夸克之间的相互作用的量子色动力学理论:夸克之间的作用力,是由于带有色荷的夸克,相互交换带有色荷的胶子而产生的。这与描述电磁作用力的量子电动力学的图像很相像,在那里电磁力是由于带电荷的粒子相互交换光子而产生的。与光子一样,胶子也是没有静止质量的、自旋为 1的粒子;但不同的是光子不带电荷,而胶子却带有色荷。也许正是这个差别,使得强作用力是短程力,而且必须作无穷大的功,才能把强子里的夸克或反夸克完全分开,这使得夸克不能以自由的状态存在。不过这一点,目前无论在实验上或在理论上,尚未得到证明。直到目前为止,自由的胶子也还没有在实验上被发现。
量子电动力学作为基本的理论完全解决了原子结构问题,量子色动力学目前是远不能与之相比的,它只是一个很有希望成为描述在夸克之间的强相互作用和强子的结构的基本理论。
强子有着内部结构,已为实验所证实。由于强子内部结构由强相互作用决定,因此其复杂性远远超过由电磁相互作用决定的原子内部结构的复杂性。建立强子内部结构的基本理论要比建立原子结构的基本理论复杂和困难得多。今后还需要在实验上和理论上进行长期的和深入的研究,才能建立起正确描述强子内部结构的基本理论。
如果t夸克的存在进一步得到证实,夸克的总数将达到6种18类,它们的性质目前也已显示了有类似于元素周期表的规律性,因此也很可能如层子模型提出时所预言的那样,夸克也具有其内部的结构。从这一角度看,层子这一概念可能更反映微观世界的客观实际。