[拼音]:xingzhuang yinzi
[外文]:form factor
粒子间相互作用矩阵元中含有的洛伦兹标量函数因子。按照相对论协变性的普遍要求,可以得到相互作用矩阵元的一般表达式,其中含有一些标量函数因子。这些因子是相互作用过程中始态和末态粒子之间动量转移的函数,它们反映了相互作用振幅随动量转移的变化关系,称做形状因子。例如,在电子与光子的相互作用矩阵元中出现电磁流的形状因子,在核子β衰变的弱相互作用矩阵元中出现轴矢量流的形状因子,等等。
形状因子常常与粒子的内部结构有一定的关系。在许多情形下,如果参与相互作用的粒子基本上可以看作是没有内部结构的点粒子(在一定的能量标度中),则形状因子就将接近于一个不随动量转移变化的常数因子。在对点粒子的量子场论(例如量子电动力学)描述中,形状因子则是由对相互作用过程的高阶微扰修正决定的。当相互作用常数很小时,形状因子与常数因子的偏离一般也比较小。对相互作用过程的形状因子的实验测定能为粒子的内部结构和相互作用动力学的研究提供重要的信息。
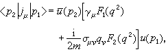
电形状因子和磁形状因子是指在描述电磁相互作用的粒子—光子顶角中出现的形状因子。例如,按照相对论协变性和电磁场规范不变性(见狭义相对论)的要求,自旋1/2的费密子与光子的相互作用顶角可以一般地表示为
其中 u(p1)和u(p2)分别是初态和末态费密子的四分量旋量,γμ和σ
是4×4矩阵,m是费密子的质量,q呏p2-p1是初态和末态费密子之间的动量转移,F1(q2)和F2(q2)为两个形状因子。为了方便,通常又把F1和F2的如下线性组合定义为电形状因子GE(q2)和磁形状因子GM(q2):
当q2=0时,GE(0)取粒子的电荷值,GM(0)取粒子的磁矩值,其中F2(0)对磁矩的贡献称做反常磁矩。对于电子,F1(0)=1(以电子电荷为单位),实验测得F2(0)=0.001159652209±0.000000000031
。准确到α 一次项的量子电动力学理论计算给出
,计及α 高次项的微扰论结果,与实验值高度精确地符合(见μ子和电子回磁比)。对于质子,F1(0)=1(以质子电荷为单位),实验测得 F2(0)=1.7928456±0.00000011
mp
。对于中子,F1(0)=0,实验测得F2(0)=-1.91304184±0.00000088,核子具有很大的反常磁矩这一事实表明,它们很可能是具有内部结构的复合粒子。
对核子的电磁形状因子实验测定是从20世纪50年代后期开展起来的。这一工作对揭示核子的内部结构很有意义。例如,核子电荷半径的均方值同电形状因子的关系是
实验测得的中子电荷半径并不为零,显示总体上表现为电中性的中子内部有复杂的电荷分布。质子的电磁形状因子和中子的磁形状因子的实验值见图1和图2。这些结果都有助于了解核子内部的电磁分布性质。
强子的电磁形状因子在高动量转移(q2很大)下的行为与强子内部可能存在的组分粒子(夸克)之间在小距离时的相互作用密切相关。当q2
1(GeV/с)2时,实验显示出核子的电磁形状因子近似地正比于(q2)-1,π介子的电磁形状因子近似地正比于 (q2)-1。这些实验资料有助于对夸克间相互作用动力学的研究。
人们除了通过散射实验对电磁形状因子在类空区域(q2>0)的行为积累了丰富的知识之外,还通过电子—正电子对撞实验对它们在类时区域(q2<0)的行为进行了研究。
- 参考书目
- S.D.Drell and F.Zachariasen, Electromagnetic Structure of Nucleons,Oxford Univ. Press, London, 1961.
- R. P. Feynman,Photon-Hadron InteRactions,W. A.Benjamin, Reading, Mass, 1972.
- C. Itzykson and J. B. Züber, Introduction to Quantum Field Theory, McGraw-Hill,New York, 1980.