[拼音]:guang de liangzi lilun
[外文]:quantum theory of light
光由光子组成的理论。光的量子理论的初步思想是由m.普朗克于1900年提出来的。到1905年由a.爱因斯坦发展为完整的理论。
1900年,为了解释黑体辐射的能量分布,普朗克假设:与空腔中的辐射处于热平衡的赫兹振子的能量只能取0,hv,2hv,…等分立值。这里v 为振子的频率,h为一常数,后来人们称之为普朗克常数。由于振子能量是分立的,所以它发射与吸收光只能是一份一份的,每一份光能为hv。根据普朗克的分析,常数h取适当的值,即可得到与实验相符合的黑体辐射的能量分布。当代测定的h值为6.6262×10-34焦耳·秒。
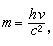
在普朗克假设中,振子辐射光能虽是一份一份的,但被发射的光能是连续分布于整个空间的。1905年爱因斯坦进一步假设频率为v的光束是由称为光子的粒子组成。每一光子的能量为
。 (1)
光子以光速с 运动。根据相对论,光子的静止质量为零,它的运动质量为
(2)
光子的动量等于
(3)
式中Δ为光波长。这样,物体发光是发射一个个光子,吸收光也是吸收一个个光子。以上就是爱因斯坦的光的量子理论。
在量子理论中,可以求得光的能量密度ω,能流密度S以及动量密度p。设单位体积中有N个光子,则光的能量密度、能流密度、动量密度分别为
, (4)
, (5)
。 (6)
在量子理论中,光子对物体表面的撞击造成光压。
爱因斯坦提出量子理论的最初目的是用以解释光电效应的,直到1916年r.a.密立根的实验才定量地证明了爱因斯坦的解释是正确的。1923年,a.h.康普顿观察了X射线与电子的碰撞,解释了散射光波长的改变,进一步证实了光子的能量与动量公式是正确的(见康普顿效应)。
- 参考书目
- E. T. Whitaker, A History of the Theories of Aether and Electricity,Vol.2, Thomas Ne1son and Son, London, 1953.