[拼音]:zhengshu fenchai
[外文]:Partition of integral number
堆垒数论的一个基本问题。把正整数 n分成为不计次序的若干个正整数之和


的一种表示法,称为n的一种分拆。对被加项及项数加以一些限制条件,就得到某种特殊类型的分拆,n的某类型所有不同的分拆个数r(n),称为该类型分拆的分拆函数。通常根据情况约定 r(0)=0或1。对被加项的限制条件主要是关于它们的大小、它们的差的大小,以及它们属于某些指定的剩余类。不加限制条件的分拆,称为无限制分拆,其分拆函数记作p(n),它是一类重要的分拆。例如,6=5+1=4+2=4+1+1=3+3=3+2+1=3+1+1+1=2+2+2=2+2+1+1=2+1+1+1+1=1+1+1+1+1+1, 所以p(6)=11。表1
中给出了一些常见的分拆。
整数分拆理论,主要是研究各种类型的分拆函数的性质及其相互关系。早在中世纪,就有关于特殊的整数分拆问题的研究。18世纪40年代,L.欧拉提出了用母函数法(或称形式幂级数法)研究整数分拆,证明了不少有重要意义的定理,为整数分拆奠定了理论基础。解析数论中的圆法的引进,使整数分拆理论得到了进一步发展。整数分拆与模函数有密切关系,并在组合数学、群论、概率论、数理统计学及质点物理学等方面都有重要应用。
分拆函数关系式幂级数
称为分拆函数r(n)的母函数。在许多情形,它是容易求得的(表1)。
欧拉的母函数法,就是利用它来研究r(n)。从母函数之间的恒等式,可导出不同类型的分拆函数之间的关系式。如表2,其中最后一个关系式即著名的欧拉五角数定理,由此,欧拉得到了无限制分拆函数p(n)的递推公式:
,其中k取整数,ω(k)=(3k2-k)/2是五角数。利用这一公式,P.A.麦克马洪于1918年编造了p(n)(n≤200)的表。H.古普塔分别于1935年、1937年和1958年将p(n)的表扩大,直到n≤1000。
1853年,N.M.费勒斯首先提出用图示法研究分拆函数。为确定起见,分拆的被加项按不增次序排列n1≥n2≥…≥ns>0。他把n的一个分拆n=n1+n2+…+ns,用图形表示:自上而下画出s行等距圆点,第i行的圆点数为nj(1≤i≤s),且每行左起第一个圆点位于同一列上。这种图通常称为费勒斯图。例如,16=8+4+3+1可用
表示。
利用图形的组合性质可得到不同类型的分拆函数之间的关系式,以及一些恒等式。例如,F.弗兰克林于1881年用这种方法证明了五角数定理。可以根据不同的分拆类型和问题来选用其他更合适的图形表示。分拆图示法是一个灵活而有效的方法。
与模函数的关系无限制分拆的母函数
·
是单位圆|x|<1内的解析函数。令
。得
,其中
,称为戴德金η 函数。从五角数定理可推出函数的变换公式
,其中α、b、с、d为满足αd-bс=1的整数,ε为一和α,b,с,d有关的24次单位根。反之,由η函数的这一变换公式可推出p(x)的一个变换公式,它在p(n)的渐近公式推导中有重要作用。此外,从模函数论中的雅可比恒等式
可推出五角数定理。
无限制分拆函数p(n)的值,随n的增长而急剧增长:
G.H.哈代和S.A.拉马努金于1918年证明估计式

,A、B为某两个正常数。他们首先提出了圆法,用它证明了渐近公式
,其中
。H.拉德马赫尔于1937年得到级数表达式
,其中
,Ak(n)是某一指数和。
S.A.拉马努金于1919年得到了p(5n+4)呏0(тod 5),p(7n+5)呏0(тod 7),p(11n+6)呏0(тod 11)。他还提出了一个猜想,后来发现有错,经过修正,G.W.沃森于1938年、J.勒纳于1943年与 A.D.L.阿特金于1967年证明了:若
,则
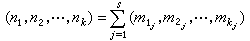
。 对其他模的同余式也有讨论。 整数分拆问题已被推广到代数数域上。此外,还可以讨论高维分拆
,r为给定正整数,以及多重分拆:
,k为给定正整数。