[拼音]:duilei shulun
[外文]:additive theory of number
又称加性数论,是关于所谓加性问题的一个数论分支。它主要研究如下类型的问题及其变形:设N是全体非负整数集合;A1,A2,…,As是N 的有限个或可数个子集合。试判定对N中的每一n,方程
是否可解或其解数r(n),其中αj∈Aj(1≤j ≤凣)。这类问题与整数集合的加法性质有关。例如,著名的多角数问题。设整数m≥3,由递推公式
所确定的数
(n=0,1,2,…),称为m角数。这类数统称为多角数。易证
,显然四角数就是平方数。1636年,P.de费马猜测:每个自然数都是 m个m角数之和。J-L.拉格朗日于1770年和A.-M.勒让德于1798年分别证明了m=4和m=3时猜测是成立的。1813年,A.-L.柯西证明了这个猜测。
L.欧拉在研究整数分拆时,注意到由于
,所以r(n)的母函数
,基于这一点,他提出了母函数法。它是堆垒数论的一个重要研究方法。堆垒数论与模形式论有密切关系。在研究哥德巴赫猜想和华林问题中,近代堆垒数论自20世纪20年代开始发展起来,主要的研究方法有圆法、指数和方法、筛法和密率。
堆垒数论中有以下几个著名问题。
平方和问题求不定方程
的整数解的个数rs(n),其中s是给定的正整数。例如,r2(3)=0, r2(5)=8,r2(9)=4。平方和问题与模形式有密切关系,rs(n)的母函数
。当s≤24时,rs(n)的表达式均已得到。例如,1829年,C.G.J.雅可比证明
1919年,G.H.哈代、J.E.李特尔伍德和S.A.拉马努金利用圆法得到了当s≥5时rs(n)的渐近公式。H.D.克洛斯特曼于1926年和T.埃斯特曼于1962年讨论了形如
的平方和问题。
C.哥德巴赫和L.欧拉1742年的数次通信中提出的猜测:
(1)每个大于 4的偶数是两个奇素数之和。如6=3+3,14=3+11=7+7=11+3;
(2)每个大于7的奇数是三个奇素数之和。如9=3+3+3,15=3+5+7=3+7+5=…=7+5+3=5+5+5。由于2n+1=(2n-2)+3,所以从①成立可推出②成立。1923年,哈代和李特伍德应用圆法研究这两个猜测,得到了一些重要的条件结果。在此基础上,И.М.维诺格拉多夫于1937年通过改进圆法和利用他的估计线性素变数指数和方法,证明了每个充分大的奇数n是三个奇素数之和,且其表法个数
。基本上解决了猜想。
(2)这一结果通常称为哥德巴赫-维诺格拉多夫定理或三素数定理。利用他的思想,华罗庚等五位数学家于1937~1938年间各自独立证明了:几乎所有的偶数是两个奇素数之和。1980年,已验证对所有不超过108的偶数,猜想①是成立的,但是猜想①至今仍未解决,类似猜想②的结果也没有得到。于是转而研究较弱的命题{r,s}:每个充分大的偶数是不超过r个素因数的乘积与不超过s个素因数的乘积之和。猜想①大体上就是命题{1,1}。筛法是研究命题{r,s}的主要方法。V.布龙用他所提出的方法即所谓布龙筛法,于1920年首先证明了命题{9,9}。1950年前后,A.赛尔伯格提出了一种筛法,并宣称利用他的方法可以证明命题{2,3}。1957年,王元利用赛尔伯格筛法首先证明了命题{2,3}。1948年,利用布龙筛法与林尼克筛法,A.雷尼证明了命题{1,s},这里的 s是一个未计算出的大常数。通过对筛法和大筛法的不断改进,1962年,潘承洞首先得出 s=5;1966年,陈景润得出s=2是迄今最好的结果,通常称之为陈景润定理。
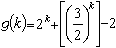
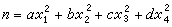
华林问题1770年,E.华林推测:每个正整数是4个平方数之和、9个立方数之和、19个4次方数之和等等。其意是他认为:对任意给定的整数k≥2,必有一正整数s(k) 存在,使得每个正整数必是 s(k)个非负的 k次方数之和,即不定方程(*)
对所有整数n≥0有非负整数解xj(1≤j ≤s)。1909年,D.希尔伯特用复杂的方法证明了s(k)的存在性,首先解决了华林的这一猜想。其后,ю.Β. 林尼克利用密率于1943年给出了s(k)存在性的另一证明。华林还猜测s(k)的最小值
。1770年拉格朗日证明了g(2)=4;1909年A.威弗里奇证明了g(3)=9。易证g(k)≥2k+
。设g(k)是使方程(*)对充分大的 n可解的s(k)的最小值。利用g(k)的上界估计,可进一步证明如下结果:
(1)当k≥6,有条件
时,则
。1964年R.M.斯泰姆勒尔验证了此条件在6≤k≤200000时成立。1957年K.马勒尔证明当 k充分大时此条件一定成立,并猜测对所有k≥6这条件都成立。
(2)1964年陈景润证明了g(5)=37,1985年R.巴拉萨布雷尼安和 F.德雷斯证明了g(4)=19。至此,关于g(k)的研究已基本完成了。
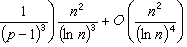
1920~1928年,哈代和李特尔伍德利用圆法研究华林问题。易证方程(*)的解数
。
他们把区间[0,1]分为K1和K2两部分,其分法与n有关。于是,
。他们想要证明(**):对于满足一定条件的s、k,当n→
时有
。但却只证明了当s≥2k+1时,
,
式中
(n)为某一奇异级数。1957年,华罗庚证明了当 s≥k+1时成立, 这是最佳的结果。1938年,华罗庚结合指数和估计方法,证明了(**)式当 s≥2k+1时成立。1947年华罗庚和И.М.维诺格拉多夫证明了当k>10,s≥2k2(2ln k+lnk+2.5)时(**)式成立。由于哈代和李特尔伍德的工作,引向讨论g(k):使方程(*)对充分大的n可解的p(k)的最小值。这比讨论g(k)更有意义。他们猜测:当k=2m≥4时g(k)=4k;在其他情形,g(k)≤2k+1。易证:当k=2m≥4时,g(k)≥4k;在其他情形,g(k)≥k+1。 由上述的 rKs(n)的渐近公式,当然可相应得到g(k)的上界估计。通过进一步的讨论可证明更好的结果:g(k)≤k(3lnk+5.2)。1959年维诺格拉多夫将结果改进为当 k≥170000时,g(k)≤k(2lnk+4lnlnk+2lnlnlnk+13)。关于小的k 值,1939年H.达文波特证明了g(4)=16,1942年林尼克证明了g(3)≤7。后来,对g(k)的估值又得到了一些改进。
华林问题可以作各种推广。例如:
(1)华林-哥德巴赫问题,即把方程(*)中的变数xj限制为素数。华罗庚和维诺格拉多夫有重要贡献。
(2)多项式华林问题,把方程(*)中的项x忋以ƒ(xj)代替,这里ƒ(x)是整值多项式;或更一般地以ƒj(xj)代替,这里ƒj(x)均是整值多项式。例如,取ƒ(x)=x+(m-2)(x2-x)/2,即为多角数问题。关于多项式华林问题有许多研究,华罗庚有重要贡献。
(3)代数数域上的华林问题,甚至可以讨论任意域上的华林问题。在这方面,C.L.西格尔有重要贡献。
普劳赫特-塔里问题或称等幂和问题,即对给定的整数 k≥2,求出使不定方程组 
(1≤h≤k)有非显然解(即y1,y2,…,ys不是x1,x2,…,xs的重新排列)的最小整数s=N(k)。易证
。1935年E.M.赖特证明了:当2喣k时,
;当2|k时,
4)。设M(k)是上述不定方程在条件
下有解的最小整数s,rk(P)表此时满足1≤xj,yj≤P的解数。1938年华罗庚证明了

,并于1952年得到了rk(P)的渐近公式。