[拼音]:biwufa
[外文]:nephelometry
又称散射测浊法。为测量光束通过悬浮液引起的散射光强度来确定悬浮物质浓度的方法,也是一种光散射测量技术。
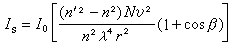
在通常情况下,散射光强度与质点散射作用的性质和测量仪器的几何条件等因素有关。当悬浮质点比入射光的波长小时,散射作用可看作是瑞利散射,其散射光强度可用瑞利方程式描述:
式中Is、I0分别为散射光强度和入射光强度;n,n′分别为介质和质点的折射率;λ为入射光波长;N、v 分别为质点的数目和每一质点的体积;β为入射光与散射光之间的夹角;r为散射中心至检测器之间的距离。在其他条件完全相同的情况下,瑞利方程式可简化为:Is=I0KsN ,即散射光强度与N 成正比,Ks为体系的经验常数。
测量悬浮质点产生的散射光强度的仪器称为散射浊度计,其构造与荧光计相似(见荧光分析),将荧光计中的光源用钨灯代替即可。如果悬浮质点本身有特征吸收,可选择最大吸收波长作入射光束。在一般情况下,用白光作入射光束。由于散射光强度一般都很小,故应采用光电倍增管作检测器。增加光源强度,可提高检测散射光的灵敏度。大多数散射测浊计中,检测器设置在与入射光束成90°角的方向上,也可以将检测器安装在一个可以转动的圆盘上,以测量不同角度的散射光强度。为此,可采用特殊设计的吸收池,如半八角形池,这种吸收池的表面可与入射光束成0°、45°、90°或135°角进行测量。在通常情况下,为减小池壁的反射和多层散射,多采用圆柱形吸收池。
在定量分析中,常用 Is/I0对悬浮质点的浓度作图,制作工作曲线。实验条件的控制与比浊法相同,当悬浮物质的浓度小时,采用比雾法测量能得到更好的结果;而当悬浮物质的浓度较大时,则用比浊法测量较好。在实际分析中,使悬浮质点的大小、形状具有很好的重现性,并使悬浮体具有很好的稳定性,是获得准确测量的关键。比雾法不适合于分析组成尚不清楚或组成变动较大的样品,因为其他电解质的存在。常常影响悬浮体的性质。
- 参考书目
- I. M. Kolthoff and P. J. Elving, Treatise on Analytical Chemistry, Vol. 5, John Wiley & Sons,New York, 1964.