[拼音]:jiaoliudian
[外文]:alternating currents
量值随时间变动的电流称为时变电流,其中量值随时间作周期性变动的电流称为周期电流。如果周期电流在一个周期内的平均值为零,则称为交变电流或简称交流电。这个定义可类推用于电压、磁通、……等物理量,分别称为交变电压、交变磁通、……等。
周期电流的数学表达式为
i=f(t)=f(t+T)=…=f(t+nT) (1)
此处电流i是时间t的函数,在任一确定时刻都有一确定量值,称为瞬时值。式(1)中的T为瞬时值重复变动的最小时间间隔,称为周期,主单位为秒。周期的倒量f=1/T表示单位时间内瞬时值变动的循环数,称为频率,其单位为每秒,称为赫兹,记作Hz。目前科学和工程上遇到的交流电,其频率可由10-4赫到1012赫。
中国工业上用作能量传输和分配的电力网,标准频率一般定为50赫,称为工业频率,简称工频。
电磁波在一个周期内传输的距离称为波长 λ=vT=v/f,此处v为电磁波速。
交流电的产生和应用交流电的来源大致有两类,一类是由机械振动或其他非电信号转换为电振荡,如传声器将声音变为电振荡,压电晶体把机械振动变为电振荡等,另一类则是交流发电机或电子振荡器,作为能源使用的都是属于后一类型。
电力网中所用的交流电源都是利用电磁感应的原理制成的,称为交流发电机。将一个线圈放在永久磁铁(或电磁铁)的磁场中旋转,则穿过线圈的磁通Ф 随时间变动,因而将产生感应电动势e=-dФ/dt。如果线圈的旋转是匀速的,且角速率为ω,则感应电动势就是周期的,其频率f=ω/2π,而ω=2πf常称之为角频率。由于线圈旋转一周后其中磁通Ф的累积变动量等于零,故感应电动势在一周期内的平均值也等于零,即电动势是交变的。通常这种交变电动势通过安装在旋转轴上的两个导电滑环用两个电刷引出,若接通外电路,则在外电路中获得频率为f的交流电。为了获得固定频率的交流电,这种发电机的转速必须是固定不变的,因此被称为同步发电机。这种将机械能转换为电能的装置产生交流电,由于受到机械结构强度的限制,其转速不能太高,因此频率也就不可能很高,一般限于10000赫以下。为了获得更高频率的交流电源,可以采用电子振荡器。广播电台、高频感应加热、电磁振动台、声呐等装置上所需用的较高频率交流电源就属这一类(见电磁振荡和电谐振)。
在m.法拉第1831年发现电磁感应现象后第二年,第一个最简单的交流发电机就已问世,然而交流电开始得到广泛应用还是在19世纪80年代以后,那时相继发明了变压器、三相制、旋转磁场和异步电动机;交流电路理论也随着这些应用的需要而逐步建立,例如用相量表示正弦量的方法就是1893年C.P.施泰因梅茨提出的。1907年三极真空管的发明,为产生更高频率的交流电及其在无线电方面的应用提供了条件。
目前,在动力方面,绝大部分电力网都是交流的,因为交流电可以方便地变换电压;交流电机在结构上也比直流电机简单;在需要直流的地方还可以很方便地采用电子整流装置。中国1980年在东北建立的超高压输变电线路就是用的50万伏交流电。
在信息传输方面也时常用到交流电,例如载波通信的载波电流就是交流电。
交流电路当电路中通过交流电时,电路周围与电路相关联的磁通也随着交变,从而在电路的各个部分感应电动势e=-dФ/dt。另外,电路中的各个部分还存在着与电压相关联的电荷,其量值随电压的交变而交变,这些交变着的电荷就形成导线中的充放电电流 i=dq/dt。一般说来,上述感应电动势与充放电电流将分布在电路的每一个微小段落上。然而,当交流电路的几何线度与该交流电相应的电磁波波长相比很小时,则除开磁场较集中的电感线圈之外,电路其他段落上的感应电动势都可忽略不计;另外除开电场较集中的电容器之外,电路其他段落上电荷的充集和放散也都可忽略不计。对这种电路可以用所谓集中参数来描述,即将电路中的电阻集中到有限个理想电阻元件上;磁场较集中的电感线圈以参数L=Ф/i来描述,称为电感,构成理想电感元件;电场较集中的电容器以参数C=q/u来描述,称为电容,构成理想电容元件。这样就构成了一个含有有限个理想元件的电路模型,这种电路称为集中参数电路。例如对工频50赫交流来说,在真空(或空气)中的电磁波长有6000千米,所以通常遇到的工频交流电路都是集中参数电路。
对集中参数电路来说,基尔霍夫电路定律在任何瞬间都成立。这是因为电路的分析并不涉及电感线圈内部或电容器内部,而只是把它们化作理想电感元件和理想电容元件去研究它们外部的电压电流关系,在这些元件外部任何电路段落上不存在感应电动势与充放电电流。因此,在任何瞬间,流入某节点的电流瞬时值的代数和恒等于零〔基尔霍夫电流定律(KCL)〕,即∑i=0;沿任意闭合回路各电压瞬时值的代数和也恒等于零〔基尔霍夫电压定律(KVL)〕,即∑u=0。
除基尔霍夫电路定律之外,各电路元件上的电压和电流的约束关系也是分析电路问题所不可缺少的。在这三种元件上电压瞬时值u与电流瞬时值i的关系是:
在电阻元件上:u=Ri, (2)
在电感元件上:u=dФ/dt=d(Li)/dt, (3)
在电容元件上:i=dq/dt=d(Cu)/dt, (4)以上各式中R、L、C 就是各理想元件的参数:电阻、电感和电容。如果它们都是既不随电压、电流量值而改变的量(即线性的),又是不随时间而改变的量(即非时变的),就被称为线性非时变元件,其参数即线性非时变参数。
根据基尔霍夫两条定律及各元件上的电压、电流约束关系,就可以列出电路的微分方程。对交流电路来说,往往只须求出所谓稳定状态(简称稳态)的解答,这相当于电路闭合后经过相当长的时间所建立的状态。而电路经过开关切换从一个稳态过渡到另一个稳态之间的过程则称为瞬变状态(简称暂态)。暂态所经历的时间理论上是无限长,但实际上往往只经过数秒、数毫秒、数微秒甚至更短的时间后即可认为已经结束,而已建立起新的稳态。暂态实际所经历时间的长短决定于电路的参数。在暂态中各元件上电压和电流一般都是非周期的,所以不在本条目讨论的范围之内。
下面将只讨论由线性非时变元件所组成的集中参数交流电路。对这种电路来说,其微分方程是常系数线性微分方程组,它的稳态解就是方程的一组特解。
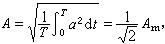
有效值和平均功率交变电流的瞬时值i随时间变动。工程上所用的交流电量值是通过该交流电流经电阻时所消耗的功率去衡量的。若某交流电流经一线性非时变电阻R在一个周期内消耗的能量与某直流I流经此同一电阻在同一时间内消耗的能量相等,则此直流I的量值就被定义为该交流i的有效值。据此,有下列等式关系
(5)
故
(6)
即交流的有效值等于该电流在一个周期内的方均根值。这个关系也适合于一周期内平均值不为零的周期电流。
对交变电压或周期电压,可用同样方法来定义其有效值
。 (7)
式(5)右端被积函数p=Ri2=ui就是交流电i流经电阻R所消耗的瞬时功率。在工程上感兴趣的是瞬时功率在一个整周期内的平均值,称为平均功率
(8)
周期变量中的最简单同时也是最基本的是随时间按正弦规律的变动,称为简谐变量或正弦变量,其一般表达式为
a=Amsin(ωt+═), (9)
它可以表示正弦电压、正弦电流或其他任何正弦变量。
式(9)中的ω=2πf为正弦变量的角频率,Am为正弦变量的振幅或峰值。ωt+═被称为正弦变量在某一瞬时t的相位,而═是t=0(初始)时的相位,被称为初相。因为相位常以角度表示,故又称为相角。
当角频率、振幅及初相都确定以后,正弦变量的瞬时值及其变动规律就已完全被确定,所以它们常被称之为正弦变量的三要素。
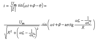
正弦变量可以用复数表示,其模等于正弦变量的振幅,其幅角等于正弦变量的初相。例如有正弦电流i=Imsin(ωt+═),则它的复数记作
式中j为虚数单位
。这个复数在复平面上(图1)可看作一个矢量,其长度为Im,由实轴起算的幅角即为 ═。如果让这个矢量从图示的初始位置
以ω为角速率逆时针方向旋转,则在任一时刻t其幅角就将是该正弦电流在t时刻的相位ωt+═,而此时矢量在虚轴上的分量
也就是该正弦电流的瞬时值。但是这种矢量与空间矢量的意义全然不同,它在图中的方向并不代表空间方向,而是代表着正弦变量的相位,故称相量。用相量表示各正弦变量,从而分析或寻求各量之间关系的方法就是相量法。
在处理同频率的正弦变量之间的关系时,由于代表它们的相量都是以相同的角速率在复平面上旋转,它们间的相对位置永远不变,所以只须考虑它们的初始位置,如图1中的相量
而无须考虑其旋转速率。
正弦变量的有效值按方均根值计算可得
(10)
即为其振幅的
这对正弦电压、电流、磁通等都相同。
在工程上,表示交变电压的大小都用有效值,故在计算正弦电流电路时就常用有效值相量来代替上述的振幅值相量。这两种相量间成常数倍率的关系,即
。有效值相量妅的模就是有效值A。这样,从有效值相量推求瞬时值的公式就是
(11)
用相量表示正弦变量的方便在于能将同频率正弦量的相加减化为相量(即复数)的相加减,把正弦量对时间的求导和积分化为与jω的相乘除从而可简化计算;同时还可以把相互有关系的相量画在同一个复平面中,以表示它们所代表的各个正弦变量的相对量值大小和相位关系,这种图形被称为相量图。
于是,基尔霍夫两条定律就可以从描述瞬时值的代数和恒等于零化为各该相量的代数和为零,即对任一节点有
而对任一回路则有
这些关系常被称为基尔霍夫定律的相量形式。
下面再寻求交流电路中常见的三种元件电阻、电感和电容上电压电流间的相量关系,即将式(2)、(3)、(4)化为相量形式。
当正弦变量乘以常量时,其振幅将成比例地增长而相位则不变,故表示其积的相量也等于原相量乘以常量。因此在电阻元件上电压电流的相量关系根据式 (2)应为
,它表示电阻上电压电流有效值的比仍是电阻R,且电压与电流同相位。
当寻求相量对时间的导数时,必须先补入旋转因子
再进行求导,然后约去
。这样,相量对时间求导就化为该相量乘以jω。据此,在电感元件上电压电流的相量关系根据式(3)化为
它表示电感元件上电压有效值等于电流有效值乘以ωL,而电压在相位上则超前于电流90°。同样,从式(4)可知,
它表示电容元件上电压有效值等于电流有效值乘以 1/ωC,而电压在相位上则滞后于电流90°。
对时间的积分是求导的反运算,因此相量对时间求积分应化为该相量除以jω。
阻抗与导纳由线性非时变元件构成的电路通入某一频率的正弦电流时,电路的电压也必然是同一频率的正弦电压。这时电压相量与电流相量的比
(12)
是一个具有电阻量纲的复量,称为该电路的复数阻抗,简称阻抗。其倒量
(13)
具有电导的量纲,称为该电路的复数导纳,简称导纳。式(12)、(13)按其形式均可称为欧姆定律的相量形式。
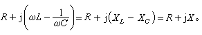
阻抗和导纳都可以写成指数形式,也都可以写成代数形式:Z=|Z|ejθ=R+jX;Y=|Y|e
=G+jB,它们的模|Z|及|Y|分别称为阻抗模及导纳模,等于电压与电流两有效值的比。幅角θ称为阻抗角,代表电压在相位上超前于电流的角度。代数式中的各参数: R=|Z|cosθ称为电路的电阻;X=|Z|sinθ称为电路的电抗;G=Ycosθ称为电路的电导;B=-Ysinθ则称为电路的电纳。这些参数之间的关系可以用两个相似的直角三角形来表示,如图2a及b,它们分别称为阻抗三角形和导纳三角形。
阻抗和导纳的概念,只能适用于频率一定的正弦电压或电流。如果频率变动,阻抗和导纳一般也都要随着变动。因此一般说来,阻抗、导纳、电阻、电抗、电导、电纳以及阻抗角都是频率或角频率的函数。
采用相量表示正弦电流电路,把电压与电流用它们的相量表示,就得到与直流电路完全相似的欧姆定律和基尔霍夫电路定律。直流电路中的电阻与电导则分别被阻抗与导纳所取代。因此,应用相量法计算正弦电流电路时就可以用直流电路计算的各种定理和方法。例如,当若干阻抗Z1、Z2、……相串联时,其等效阻抗Z等于各阻抗之和:Z=Z1+Z2+……;而若干导纳Y1、Y2、……相并联时,其等效导纳Y也等于各导纳的和:Y=Y1+Y2+……。
根据上面所讨论电阻、电感和电容元件上的电压电流相量关系,可知电阻元件的阻抗为实量R;电感元件的阻抗为jωL,是虚量,其量值XL=ωL 称为感抗;电容元件的导纳为jωC,或其阻抗为-j/(ωC),也是虚量,其量值Xc=1/(ωC)称为容抗。感抗和容抗的倒量BL=1/(ωL)及Bc=ωC 则分别称为感纳及容纳。
如果电路由电阻R、电感L及电容C串联组成(图3a),则其阻抗应等于三个元件阻抗的和,即
若已知电压妧,则电流夒可根据欧姆定律求得
这里电路的电抗X等于感抗XL与容抗Xc的差。电路的电压相量等于各元件上电压相量的和,它们的相对量值和相位关系可由相量图(图3b)显示出来,图中设电流相量的初相为零,被称为参考相量。
根据上式,可以容易地写出电压电流瞬时值关系。如设u=Umsin(ωt+═),则
图3c绘出了电流i、电压 u及各元件上电压分量uc、uL、uc随时间变动的曲线。
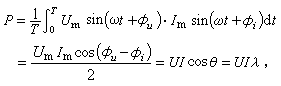
正弦电流的功率当线性非时变参数电路中通过正弦电流i时,电路上的电压为同一频率的正弦电压u。如果电流和电压的初相各为═i及═u,则按式(8)求得此电路消耗的平均功率为
(14)
这里θ=═u-═i也就是阻抗角。
在一般情况下,平均功率的计算式与直流电路中的不同,并不等于电压电流两有效值的相乘积,而是要在此乘积上乘上一个小于1的数λ=cosθ。它称为功率因数。电压电流两有效值的乘积S=UI则称为视在功率或表观功率。为了与平均功率相区别,视在功率习惯上常用伏安(V·A)作单位,而不用瓦。
当用相量表示电压、电流时,把这两个相量直接相乘是没有意义的。但若取电流相量的共轭
与电压相量妧相乘,则得
它称为复功率,其实部Scosθ就是平均功率P,也可称为有功功率;虚部Ssinθ则称为电路的无功功率Q。无功功率并不反映电路吸收的功率,只是反映电路与外电源之间能量反复授受的程度,其单位常称为无功伏安或乏。
一般电气设备都有电压的额定值和电流的额定值,其容量以视在功率标出。如果这种设备运行时功率因数不是固定的,例如交流同步发电机或变压器都是这样,其功率因数与负载性质有关。为了充分利用这类电气设备的容量,就应该尽可能提高功率因数,也就是应设法使各种负载的无功功率能互相补偿〔按式(15),无功功率可为正值(当θ>0)或负值(当θ<0)〕,或者尽可能提高每一负载的功率因数。另外当功率因数小于1时,总有一部分能量在电源和负载之间反复授受,致使传输线上因电流增大而效率降低。这也是要尽量提高功率因数的一条理由。
交流电路中的互感当交流电路中各部分之间存在着磁耦合时,则还须考虑互感。它可以看作是电阻、自感(当不存在互感时,自感可径称为电感)、电容之外的另一参数。设两个理想的线性非时变电感元件其各自的自感为L1及L2,其间的互感为M(图4),则两元件上的电压、电流瞬时值关系是
(16)
(17)
此两式中的后项就是两个元件上的互感电压。
通常一个元件上电压和电流的参考方向(即正值所表示的实际方向)都是规定为相一致的。但一个元件中电流的参考方向与另一个元件中电流的参考方向之间在无互感的情况下,规定时并无任何约束。然而在有互感的情况下,为了使互感M得出正值,还必须要求两元件中电流同为正值(或同为负值)时其磁场应相互加强,如图4所示。由于简化电路图中并不画出电感线圈的绕法,所以常用星号“*”标示磁耦合的对应端。当两线圈中电流的实际方向都是从对应端进入(或离开)线圈时,其磁场就是相互加强。图4中已作了对应端标记。
当两电感元件中电压、电流都是同一频率的正弦变量时,式(16)、(17)可以写成相量形式
(18)
(19)
用这两式来共同表达两个元件上电压电流相量的约束关系。这里XM=ωM 称为两元件间的互感电抗。
具有磁耦合的两个电感元件也可以当作一个整体而看成一个具有四个端子的元件。
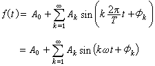
非正弦周期交流电路前面曾提到:正弦变量是周期变量中最简单和最基本的形式,这是因为根据数学中的傅里叶方法,周期变量常可以分解成一系列正弦变量的和〔作这种分解的条件是f(t)必须满足所谓狄利克雷条件,但一般电路中遇到的周期变量都能满足这个条件〕,即
(20)
其中各系数 A0,A1…及各初相═1,═2…都可根据特定的公式算出。当f(t)代表电流时,A0就相当于该电流的直流成分。式中的每一个正弦项Aksin(kωt+═k)称为一个谐波。当k=1时称为基波,k为大于1的整数时则称为高次谐波或k次谐波。一般随谐波次数k的增高其振幅Ak也会逐渐变小,所以式(20)右端可视所需精度取到一定的谐波次数为止。
一般的交流电源,其电压常与正弦电压有某些差别,亦即存在一些高次谐波。当线性非时变参数交流电路中各电源电压都是同一周期的周期变量时,则建立稳态后各电流以及负载上的电压一般也都是具有相同周期的周期变量。欲计算此种电路的电压电流时,可根据线性电路的叠加定理,先将给定的电压电流分解为谐波,然后分别对每一谐波进行计算(可用相量法),并将各个相对应的计算结果写成瞬时值,然后相加即可。
- 参考书目