[拼音]:Jialilüe
[外文]:Galileo Galilei (1564~1642)
本词条主要介绍了伽利略的生平和学术生涯、早年活动、帕多瓦时期、托斯卡纳时期、教廷的迫害和晚年生活、学术成就、新的科学思想和科学研究方法、物理学概念和原理的创新、惯性原理和力与加速度的新概念、运动独立性原理和运动的合成、分解定律、惯性参照系概念、单摆周期性质的发现、光速有限及其测量、几种基本物理实验仪器的研制、浮力天平、温度计、望远镜、彻底推翻亚里士多德的物质观等。
伽利略是伟大的意大利物理学家和天文学家,科学革命的先驱。历史上他首先在科学实验的基础上融会贯通了数学、物理学和天文学三门知识,扩大、加深并改变了人类对物质运动和宇宙的认识。为了证实和传播N.哥白尼的日心说,伽利略献出了毕生精力。由此,他晚年受到教会迫害,并被终身监禁。他以系统的实验和观察推翻了以亚里士多德为代表的、纯属思辨的传统的自然观,开创了以实验事实为根据并具有严密逻辑体系的近代科学。因此,他被称为“近代科学之父”。他的工作,为I.牛顿的理论体系的建立奠定了基础。
生平和学术生涯
早年活动
伽利略1564年2月15日生于比萨,父亲芬琴齐奥·伽利莱精通音乐理论和声学,著有《音乐对话》一书。1574年全家迁往佛罗伦萨。伽利略自幼受父亲的影响,对音乐、诗歌、绘画以及机械兴趣极浓;也像他父亲一样,不迷信权威。17岁时遵从父命进比萨大学学医,可是对医学他感到枯燥无味,而在课外听世交、著名学者O.里奇讲欧几里得几何学和阿基米德静力学,感到浓厚兴趣。
1583年,伽利略在比萨教堂里注意到一盏悬灯的摆动,随后用线悬铜球作模拟(单摆)实验,确证了微小摆动的等时性以及摆长对周期的影响,由此创制出脉搏计用来测量短时间间隔。1585年因家贫退学,担任家庭教师,但仍奋力自学。1586年,他发明了浮力天平,并写出论文《小天平》。
1587年他带着关于固体重心计算法的论文到罗马大学求见著名数学家和历法家C.克拉维乌斯教授,大受称赞和鼓励。克拉维乌斯回赠他罗马大学教授P.瓦拉的逻辑学讲义与自然哲学讲义,这对于他以后的工作大有帮助。
1588年他在佛罗伦萨研究院做了关于A.但丁《神曲》中炼狱图形构想的学术演讲,其文学与数学才华大受人们赞扬。次年发表了关于几种固体重心计算法的论文,其中包括若干静力学新定理。由于有这些成就,当年比萨大学便聘请他任教,讲授几何学与天文学。第二年他发现了摆线。
当时比萨大学教材均为亚里士多德学派的学者所撰,书中充斥着神学与形而上学的教条。伽利略经常发表辛辣的反对意见,由此受到校内该学派的歧视和排挤。1591年其父病逝,家庭负担加重,他便决定离开比萨。
帕多瓦时期
1592年伽利略转到帕多瓦大学任教。帕多瓦属于威尼斯公国,远离罗马,不受教廷直接控制,学术思想比较自由。在此良好气氛中,他经常参加校内外各种学术文化活动,与具有各种思想观点的同事论辩。此时他一面吸取前辈如N.F.塔尔塔利亚、G.B.贝内代蒂、F.科门迪诺等人的数学与力学研究成果,一面经常考察工厂、作坊、矿井和各项军用民用工程,广泛结交各行各业的技术员工,帮他们解决技术难题,从中吸取生产技术知识和各种新经验,并得到启发。
在此时期,他深入而系统地研究了落体运动、抛射体运动、静力学、水力学以及一些土木建筑和军事建筑等;发现了惯性原理,研制了温度计和望远镜。
1597年,他收到J.开普勒赠阅的《神秘的宇宙》一书,开始相信日心说,承认地球有公转和自转两种运动。但这时他对柏拉图的圆运动最自然最完善的思想印象太深,以致对开普勒的行星椭圆轨道理论不感兴趣。
1604年天空出现超新星,亮光持续18个月之久。他便趁机在威尼斯作几次科普演讲,宣传哥白尼学说。由于讲得精采动听,听众逐次增多,最后达千余人。
1609年7月,盛传一荷兰眼镜工人发明了供人玩赏的望远镜。他未见到实物,思考竟日后,用风琴管和凸凹透镜各一片制成一具望远镜,倍率为3,后又提高到9。他邀请威尼斯参议员到塔楼顶层用望远镜观看远景,观者无不惊喜万分。参议院随后决定他为帕多瓦大学的终身教授。1610年初,他又将望远镜放大率提高到33,用来观察日月星辰,新发现甚多,如月球表面高低不平,月球与其他行星所发的光都是太阳的反射光,水星有4颗卫星,银河原是无数发光体的总汇,土星有多变的椭圆外形等等,开辟了天文学的新天地。是年3月,出版了他的《星空信使》一书,震撼全欧。随后又发现金星盈亏与大小变化,这对日心说是一强有力的支持。
伽利略日后回顾在帕多瓦的18年时,认为这是他一生中工作最开展、精神最舒畅的时期。事实上,这也是他一生中学术成就最多的时期。
托斯卡纳时期
20年来伽利略在物理学和天文学研究上的丰硕成果,激起了他学术上的更大企求。为了取得充裕时间致力于科学研究,1610年春,他辞去大学教职,接受托斯卡纳公国大公聘请,担任宫廷首席数学家和哲学家的闲职与比萨大学首席数学教授的荣誉职位。
为了使科学免受教会干预,伽利略曾多次去罗马活动。1611年他第二次去罗马,目的在于赢得宗教、政治与学术界认可他在天文学上的发现。他在罗马受到包括教皇保罗五世和若干高级主教在内的上层人物的热情接待,并被林赛研究院接纳为院士。当时耶稣会的神父们承认他的观测事实,只是不同意他的解释。这年5月,在罗马大学的大会上,几个高职位的神父公开宣布了伽利略的天文学成就。
同年,他观察到太阳黑子及其运动,对比黑子的运动规律和圆运动的投影原理,论证了太阳黑子是在太阳表面上;他还发现了太阳有自转。1613年他发表了3篇讨论太阳黑子问题的通信稿。另外,1612年他又出版了《水中浮体对话集》一书。
1615年,一诡诈的教士集团和教会中许多与伽利略敌对的人联合攻击伽利略为哥白尼学说辩护的论点,控告他违反基督教义。他闻讯后,于是年冬第三次去罗马,力图挽回自己的声誉,企求教廷不因自己保持哥白尼观点而受到惩处,也不公开压制他宣传哥白尼学说,教廷默认了前一要求,但拒绝了后者。教皇保罗五世在1616年下达了著名的“1616年禁令”,禁止他以口头的或文字的形式保持、传授或捍卫日心说。
1624年,他第四次去罗马,希望故友新任教皇乌尔邦八世能够同情并理解他的意愿,以维护新兴科学的生机。他先后谒见6次,力图说明日心说可以与基督教教义相协调,说“圣经是教人如何进天国,而不是教人知道天体是如何运转的”;并且试图以此说服一些大主教,但毫无效果。乌尔邦八世坚持“1616年禁令”不变;只允许他写一部同时介绍日心说和地心说的书,但对两种学说的态度不得有所偏倚,而且都要写成数学假设性的。在这辛勤奔波的一年里,他研制成了一台显微镜,“可将苍蝇放大成母鸡一般。”
此后6年间,他撰写了《关于托勒密和哥白尼两大世界体系对话》一书(书影(见彩图)。中译本,上海外国自然科学哲学著作编译组译,上海人民出版社,1974)。1630年他第5次到罗马,取得了此书的“出版许可证”。此书终于在1632年出版了。此书在表面上保持中立,但实际上却为哥白尼体系辩护,并多处对教皇和主教隐含嘲讽,远远超出了仅以数学假设进行讨论的范围。全书笔调诙谐,在意大利文学史上列为文学名著。
教廷的迫害和晚年生活
《对话》出版后6个月,罗马教廷便勒令停止出售,认为作者公然违背“1616年禁令”,问题严重,亟待审查。原来有人在教皇乌尔邦八世面前挑拨说伽利略在《对话》中,借头脑简单、思想守旧的辛普利邱之口以教皇惯用辞句,发表了一些可笑的错误言论,使他大为震怒。曾支持他当上教皇的集团激烈地主张要严惩伽利略,而神圣罗马帝国和西班牙王国认为如纵容伽利略会对各国国内的异端思想产生重大影响,提出联合警告。在这些内外压力和挑拨下,教皇便不顾旧交,于这年秋发出要伽利略到罗马宗教裁判所受审的指令。
年近七旬而又体弱多病的伽利略被迫在寒冬季节抱病前往罗马,在严刑威胁下被审讯了三次,根本不容申辩。几经折磨,终于在 1633年6月22日在圣玛丽亚修女院的大厅上由10名枢机主教联席宣判,主要罪名是违背“1616年禁令”和圣经教义。伽利略被迫跪在冰冷的石板地上,在教廷已写好的“悔过书”上签字。主审官宣布:判处伽利略终身监禁;《对话》必须焚绝,并且禁止出版或重印他的其他著作。此判决书立即通报整个天主教世界,凡是设有大学的城市均须聚众宣读,借此以一儆百。
伽利略既是勤奋的科学家,又是虔诚的天主教徒,深信科学家的任务是探索自然规律,而教会的职能是管理人们的灵魂,不应互相侵犯。所以他受审之前不想逃脱,受审之时也不公开反抗,而是始终服从教廷的处置。他认为教廷在神学范围之外行使权力极不明智,但只能私下有所不满。显然,G.布鲁诺的被处火刑和T.康帕内拉的被长期打入死牢,这两位意大利杰出的哲学家的遭遇,给他精神上投下了可怕的阴影。
宗教裁判所的判决随后又改为在家软禁,指定由他的学生和故友A.皮柯罗米尼大主教在锡耶纳的私宅中看管他,规定禁止会客,每天书写材料均需上缴等。在皮柯罗米尼的精心护理和鼓励下,伽利略重行振作起来,接受皮柯罗米尼的建议继续研究无争议的物理学问题。于是他仍用《对话》中的三个对话人物,以对话体裁,和较朴素的文笔,将他最成熟的科学思想和科研成果撰写成《关于两门新科学的对话与数学证明对话集》。两门新科学是指材料力学(见弹性力学)和动力学。这部书稿1636年就已完成,由于教会禁止出版他的任何著作,他只好托一位威尼斯友人秘密携出国境,1638年在荷兰莱顿出版。
伽利略在皮柯罗米尼家中刚过了5个月,便有人写匿名信向教廷控告皮柯罗米尼厚待伽利略。教廷乃勒令伽利略于当年12月迁往佛罗伦萨附近的阿切特里他自已的故居,由他的大女儿维姬尼亚照料,禁例依旧。她对父亲照料妥贴,但4个月后竟先于父亲病故。
伽利略多次要求外出治病,均未获准。1637年双目失明。次年才获准住在其子家中。在这期间探望他的除托斯卡纳大公外,还有英国著名诗人、政论家J.弥尔顿和法国科学家、哲学家P.伽桑迪。他的学生和老友B.卡斯泰里还和他讨论过利用木卫星计算地面经度的问题。这时教廷对他的限制和监视已明显放松了。
1639年夏,伽利略获准接受聪慧好学的18岁青年V.维维亚尼为他的最后一名学生,并可在他身边照料,这位青年使他非常满意。1641年10月卡斯泰里又介绍自己的学生和过去的秘书E.托里拆利前往陪伴。他们和这位双目失明的老科学家共同讨论如何应用摆的等时性设计机械钟,还讨论过碰撞理论、月球的天平动、大气压下矿井水柱高度等问题,因此,直到临终前他仍在从事科学研究。
伽利略于1642年1月8日病逝,葬仪草率简陋,直到下一世纪,遗骨才迁到家乡的大教堂。
学术成就
新的科学思想和科学研究方法
在伽利略的研究成果得到公认之前,物理学以至整个自然科学只不过是哲学的一个分支,没有取得自己的独立地位。当时,哲学家们束缚在神学和亚里士多德教条的框框里,他们苦思巧辩,得不出符合实际的客观规律。伽利略敢于向传统的权威思想挑战,不是先臆测事物发生的原因,而是先观察自然现象,由此发现自然规律。他摒弃神学的宇宙观,认为世界是一个有秩序的服从简单规律的整体,要了解大自然,就必须进行系统的实验定量观测,找出它的精确的数量关系。
基于这样的新的科学思想,伽利略倡导了数学与实验相结合的研究方法;这种研究方法是他在科学上取得伟大成就的源泉,也是他对近代科学的最重要贡献。用数学方法研究物理问题,原非伽利略首倡,可以追溯到公元前3世纪的阿基米德,14世纪的牛津学派和巴黎学派以及15、16世纪的意大利学术界,在这方面都有一定成就,但他们并未将实验方法放在首位,因而在思想上未能有所突破。伽利略重视实验的思想可见于1615年他写给克利斯廷娜公爵夫人的一封信上的话:“我要请求这些聪明细心的神父们认真考虑一下臆测性的原理和由实验证实了的原理二者之间的区别。要知道,做实验工作的教授们的主张并不是只凭主观愿望来决定的。”
伽利略的数学与实验相结合的研究方法,一般来说,分三个步骤:
(1)先提取出从现象中获得的直观认识的主要部分,用最简单的数学形式表示出来,以建立量的概念;
(2)再由此式用数学方法导出另一易于实验证实的数量关系;
(3)然后通过实验来证实这种数量关系。他对落体匀加速运动规律的研究便是最好的说明。
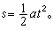
从落体的加速运动所能作出的最简单设想,可能是其瞬时速度v与路程s成正比,此v也可能与下落时间t成正比。这就是研究方法的步骤①。通过数学论证,不难发现第一种假设对于匀加速运动是不能成立的。于是采取v∝t或v=at的假设,这里a是加速度。
由于v值无法直接测量,所以将此式转换为可测量路程的形式:
如此则落体在1,2,3,……秒末所通过的路程依次为
由此得知每隔1秒落体下落的一段距离依次为
依等差级数递增。如此便完成了步骤②。
最后的步骤是用实验验证:由于自由落体的加速度a值大,即使在短时间内下落的路程也会很大,难于测量。为了“冲淡”加速度,使其减小,伽利略设计了斜面滚球实验,测量从斜面上的光滑小槽内往下滚的青铜小球的行程与时间的关系。他采用精密的漏壶,反复实验100次。所得结果与步骤②中所设想的s-t数量关系符合,且重复性良好,肯定了落体作匀加速运动设想的正确性。
由此可见,伽利略进行科学实验的目的主要是为了检验一个科学假设是否正确,而不是盲目地收集资料,归纳事实。
物理学概念和原理的创新
惯性原理和力与加速度的新概念推动重物时需要的力大,而推动轻物时需要的力小,是人们的直觉经验。亚里士多德据此得出普遍性的结论:一切物体均有保持静止或所谓寻找其“天然去处”的本性,认为“任何运动着的事物都必然有推动者”,并用比例定律把动力与速度联系起来。伽利略则得出新的概念,他观察到一个沿着光滑斜面向上滑动的物体,因斜面的斜角不同而受到不同程度的减速,斜角越小,减速越小。如在无阻力的水平面上滑动,则应保持原速度永远滑动。因而得出这样的结论:“一个运动的物体,假如有了某种速度以后,只要没有增加或减小速度的外部原因,便会始终保持这种速度──这个条件只有在水平的平面上才有可能,因为在斜面的情况下,朝下的斜面提供了加速的起因,而朝上的斜面提供了减速的起因;由此可知,只有在水平面上运动才是不变的”(《两门新科学的对话》,第三天,问题9,假设23注)。这样,伽利略便第一次提出了惯性概念,并第一次把外力和“引起加速或减速的外部原因”即运动的改变联系起来。与前述的匀加速运动实验结合在一起,伽利略提出了惯性和加速度这个全新的概念,以及在重力作用下物体作匀加速运动的全新的运动规律,为牛顿力学理论体系的建立奠定了基础。这种新的惯性概念,推翻了1000多年以来亚里士多德学派认为物体运动靠精灵或外界迂回空气推动的说法,也澄清了中世纪含糊的“冲力”说。这是人类长期以来研究机械运动的理论成果,并且得到了当时地动说支持者们的拥护。伽利略虽然没有明确地写出惯性原理,可是表明了这是属于物体的本性的客观规律,在研究其他物理问题时,他熟练地运用了它。然而他未能摆脱柏拉图关于行星作圆运动的观点,相信“圆惯性”的存在,因此未能将惯性运动概念推广到一切物体运动上。完整的惯性原理是在伽利略逝世后两年由R.笛卡儿表述的。
伽利略把物体速度的大小和方向的改变或加速度的产生归诸力的作用,这是对力的性质的客观认识,也是牛顿第二定律的雏形。惯性原理的发现破除了力是运动原因的旧概念,而认为力是改变运动状态的原因。牛顿在《自然哲学的数学原理》一书中高度评价伽利略对第一、第二两运动定律所作的开创性工作(见牛顿运动定律)。
运动独立性原理和运动的合成、分解定律在弹道的研究中,伽利略发现水平与垂直两方向的运动各具有独立性,互不干涉,但通过平行四边形法则又可合成实际的运动径迹。他从垂直于地面的匀加速运动和水平方向的匀速运动,完整地解释了弹道的抛物线性质,这是运动的合成研究的重大收获,并具有实用意义。
惯性参照系概念伽利略用物理学原理为哥白尼地动学说进行辩解时,应用运动独立性原理通俗地说明了石子从桅杆顶上掉落到桅杆脚下而不向船尾偏移的道理。他又进一步以作匀速直线运动的船舱中物体运动规律不变的著名论述,第一次提出惯性参照系的概念。这一原理被A.爱因斯坦称为伽利略相对性原理,是狭义相对论的先导。
单摆周期性质的发现伽利略由观察到教堂悬灯的摆动对摆进行实验研究,发现单摆的周期与摆长的平方根成正比,而与振幅大小和摆锤重量无关。这个规律的发现为此后的振动理论和机械计时器件的设计方案建立了基础。
光速有限及其测量前人对于光速是否有限从来没有明确的认识。伽利略观察了闪电现象,认为光速是有限的,并设计了测量光速的掩灯方案。但限于当时的实验条件,用这种测量方法实际测到的主要只是实验者的反应和人手的动作时间,而不是光的行进时间。然而,如果有了明暗变化有规律的光源或高速机械控制的器件代替人手动作,是可以测量到真正的光速的,后来木卫星食法、转动齿轮法、转镜法、克尔盒法、变频闪光法等光速测量方法都借鉴于掩灯方案。
几种基本物理实验仪器的研制
伽利略不但亲自设计和演示过许多实验,而且亲自研制出不少实验仪器。他的工艺知识丰富,制作技术精湛,他所创制的许多实验仪器在当时及对后世都很有影响,下面举出几项:
浮力天平这是利用浮力原理快速测定金银器皿首饰中金银含量比例的直读仪器。这种仪器当时已用于金银首饰器皿的交易中。
温度计伽利略首创的温度计是一种开放式的液体温度计,玻璃管内盛有着色的水和酒精,液面与大气相通(见彩图)。这实际上是温度计与大气压力计的混合体,这是由于当时他对大气压力的变化还没有明确的认识。尽管如此,其学术价值仍很大,温度从此成为客观的物理量,不再是不确定的主观感觉。
望远镜
伽利略制成的望远镜,可以观察到物体的正像。经过改进后,其倍率由3逐步增大到33;不但指向星空,还可应用于船舰要塞,取得空前丰硕的发现成果(见彩图)。这种望远镜结构简单,而其倍率和分辨本领受球差和色差的限制较大。
彻底推翻亚里士多德的物质观
欧洲中世纪占绝对统治地位的自然观,是经过神学改装了的亚里士多德的自然观,它成为封建神权统治者统制民众思想的工具。亚里士多德认为,地球和地上万物都由气、火、水、土四种元素所组成,都是丑陋、不洁、不完美的,有变化和有生灭的。火和气组成向上流动的轻物,水和土组成向下掉落的重物。而天体则是由“以太”所组成的纯洁、完美、永恒的物体。又因为“上帝厌恶真空”,所以真空不可能存在。然而伽利略从望远镜发现月亮表面有山峰和洼地,高低不平,并不是完美无缺,金星也有盈亏变化;太阳表面还有活动不已的黑子;肉眼就能直接看到超新星的爆发及其渐渐暗淡和消失。这些都打破了亚里士多德天尊地卑,天体和地上物质的性质悬殊的思想。伽利略通过流体静力学对浮体的研究,得知所有物体都是重物,没有绝对的轻物。天体和地球以及地上万物在物质结构上是统一的。真空也可能存在和产生,而且只有在真空中才能研究物体运动的真正性质。这就彻底推翻了亚里士多德凭借主观臆测的物质观,从而也根本动摇了封建神权的思想统治。
科学革命的先驱
伽利略在人类思想解放和文明发展的过程中作出了划时代的贡献。在当时的社会条件下,为争取不受权势和旧传统压制的学术自由,为近代科学的生长,他进行了坚持不懈的斗争,并向全世界发出了振聋发聩的声音。因此,他是科学革命的先驱,也可以说是“近代科学之父”。虽然他晚年终于被剥夺了人身自由,但他开创新科学的意志并未动摇。他的追求科学真理的精神和成果,永远为后代所景仰。
1979年,梵蒂冈教皇J.保罗二世代表罗马教廷为伽利略公开平反昭雪,认为教廷在300多年前迫害他是严重的错误。这表明教廷最终承认了伽利略的主张──宗教不应该干预科学。
- 参考书目
- L. Geymonat,Galileo Galilei: A BiogRaphy and Inquiry into His Philosophy of Science,S.Drake,tr.,McGrawHill,New York,1965.
- S.Drake,Galileo Studies,Personality, Tradition and Revolution,Univ.of Michigan Pr., Ann Arbor.1970.
- F.Taylor,Galileo and the Freedom of Thought,Watts & Co., London, 1938.
- I.Cohen,The Birth of a New Physics,Doubleday, New York,1960.