[拼音]:toubaosu
[外文]:cephalosporin
一种抗生素。1945年从头孢菌属中首先分离。头孢素较青霉素有更广的抗菌谱,对革兰氏阳性菌和某些革兰氏阴性菌有作用,并且不为青霉素酶所破坏。
结构和类别头孢素和青霉素都是含有β-内酰胺环的抗生素,与β-内酰胺环并合的不是五元环结构,而是六元环结构。目前实际生产和使用的头孢素类抗生素接近10种。其中以发酵法制得者,主要为头孢素C和头孢霉素C;以半合成法制得者,主要有注射用的噻吩头孢素和口服用的苯甘头孢素等。其共同结构为:
合成法
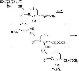
60年代中期,曾用NOCl在无水甲酸中处理头孢素 C,使其侧链闭环后失去,得到失去侧链的产物,称为7-ACA:
收率达40%。从7-ACA出发,以适当的酰氯酰化,可得到一系列半合成头孢素。
近年来发展的另一条合成头孢素系的路线,是从青霉素出发,转化成3-甲基取代的7-ACA,再合成相应的半合成头孢素,例如: