[拼音]:daqi nengjiandu
[外文]:visibility in atmosphere
视力正常的人能从背景(天空或地面)中识别出具有一定大小的目标物的最大距离,也称气象视程。按观测者与目标物的所在高度不同分为水平能见度、斜视能见度和铅直能见度三类。大气能见度与航空、航海、陆上交通、高空摄影、天文观测以及军事行动等都有直接关系,是表征大气光学性质的常用要素,在实际观测中分为10个等级。
白昼能见度
设目标物的视亮度为Lt,背景视亮度为Lb,这两者的差异可用对比C 来表示:
C 是距离的函数。人眼对于远处足够大物体能分辨的最小的亮度对比值ε 称为对比感阈,对视力正常的静止观测者而言,ε的平均值为0.02。当距离R 处的目标物满足C(R)=ε,则R就是能见度。
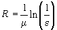
在大气水平均匀的假定下,可以导出白天水平能见度R的基本方程:
式中μ是地平方向的消光系数;Lh是地平方向的天空亮度;C*=喣(L*t-L*b/L*b)喣是目标物和背景固有亮度的对比,L*t和L*b分别为目标物和背景的固有亮度。由基本方程可以看出,能见度与目标物、天空背景及大气的光学特性都有关系。大气越浑浊,即消光系数μ越大,能见度越小。对于以地平线附近的天空为背景的黑色目标物来说,L*b=Lh,L*t=0,所以基本方程可化简为
。若取ε=0.02,则水平能见度R =3.912/μ(公里)。如能测出消光系数,则可根据此式计算出能见度。在可见光波段一般采用0.55微米波长的消光系数近似表示平均消光系数。因为大气中的消光系数随波长的增长而减小(见大气消光),所以波长增长时,能见度将增大。消光系数与能见度和波长λ的关系为
式中R 以公里为单位,μλ以公里-1为单位。在实际观测中,可根据测定的大气消光系数来确定水平能见度,但对斜视能见度和铅直能见度还没有很好的测量方法。
夜间能见度 夜间的能见度和白昼不同。每当黑夜来临,物体和背景亮度大为减小,加上黑夜里人眼对亮度或色彩的对比感觉较为迟钝,不能根据亮度对比来确定能见度。此时对微弱的光流则较为敏感。黑夜里某一光信号能否被发现,主要取决于光源对观测点所产生的照度。光强为I的点光源对距离r处的人眼产生的照度为
如果Es是人眼的照度感阈,则相应的夜间能见度V 将满足:
所以夜间能见度取决于大气的消光特性和光的强度,对同样的大气状况,白天能见度和夜间能见度的关系为
- 参考书目
- W.E.K.Middleton,Vision through the Atmosphere, Univ.of Toronto Press,Toronto,1952.