海洋沉积物同位素年代测定

应用海洋沉积物中某些放射性同位素衰变的规律来测定沉积物形成时距今的年代。它是一种精确的地质计时手段。同位素年代是定量地衡量海洋沉积的时间尺度,是研究沉积发育史必不可少的资料,也是计算沉积速率的直接依据。沉积层的划分与对比,恢复和重建古地理,了解冰期与间冰期的持续时间和海平面变化过程,确定古地磁事件的年限,测定锰结核矿产的生长速率,以及海岸工程建设中泥沙淤积量的计算等等,都需要沉积物年代的资料。

1908年爱尔兰J.乔利最先发现海洋沉积物中铀系存在着放射性不平衡,这就为利用放射性同位素衰变规律测定海洋沉积物的年代提供了理论基础。1936年苏联Л.М.库尔巴托夫开始用226Ra测定喀拉海锰结核的年龄。1942年美国C.S.皮戈特和W.D.尤里226Ra 测定大洋沉积物的年龄和沉积速率。嗣后在海洋沉积物年代测定上又采用 14C法、 230Th/232Th法、 231Pa/230Th法、210Pb法、10Be法等等。

基本原理

任何放射性同位素都以其特有的恒定速度产生衰变,并且不受地球产生的高温、高压和电磁场变化的干扰,也不依赖于其化学状态。当海洋沉积物沉积时放射性元素以一定的形式进入沉积物中,随着时间的推移,放射性元素即遵循放射性衰变定律进行自发的衰变,其基本公式为

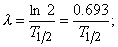
N=N0e-λt

式中t为时间,表示所求沉积物的年龄;N0表示时间开始时(t=0)某一同位素的原子数;N表示经过t时间后该同位素所剩下未衰变的原子数;λ表示该同位素的衰变常数,它与半衰期T1/2的关系是e是自然对数的底(e=2.71828182)。从上式中可以看出衰变为时间的函数,在沉积层中表现为随着埋藏深度的增加,同位素的含量呈指数降低,这样只要能准确测定沉积物各层中该同位素的含量,即可根据放射性衰变定律求得沉积物的年龄。研究表明,海洋沉积物中放射性元素母体与子体之间常处于不平衡状态,也就是说,或者子体不足,或者子体过剩。因此,测年的方法概括起来不外乎用衰变产物积累的方法和过剩产物的衰变方法。尽管各种测年方法的计算公式千变万化,但都是由上述基本公式导出的。根据求得某层沉积物的年龄和沉积物所处的深度,即可算出沉积物的沉积速率。

应用同位素测年总的前提条件为:

(1)进入沉积物的放射性元素应基本保持一定的速率,沉积的量不随时间有大幅度的变化;

(2)沉积后放射性元素的衰变应大体保持在封闭的化学体系中进行,不受外界条件的影响,不与周围物质发生交换,即没有母体或子体同位素的丢失或加入;

(3)在测年的范围内沉积层应是连续的,不能有沉积间断,不能有突变性的火山喷发和浊流沉积等。

测年方法

海洋沉积物有时代年轻和结构疏松两个显著的特点。因年轻,通常不能采用测定古老地层年龄的方法(如铀-铅法、铷-锶法等)。而必须选择一些半衰期相对较短的同位素。因疏松,就要求在采样时必须谨慎,不能将沉积物的层次错动。

沉积物中存在的一系列同位素,可以组合成许多测年方法。应用广泛、数据可信、比较成熟的几种测年方法如下

碳-14(14C)法测年

宇宙射线在大气圈中产生中子,中子与大气圈中的14N相互作用生成 14C,经大气循环,14C将进入生物圈和海洋。14C沉积后即停止与外界的交换关系并开始放射性衰变,在沉积层中 14C随着埋藏的深度呈规律地指数下降。其通用的计年公式为

式中t为被测样品的年代;λ为衰变常数;τ14C的平均寿命(8033年);I0为现代样品中碳的放射性比度;I为所测样品中碳的放射性比度。

14C法能够测定的最大年龄为 5~6万年。该法已被广泛应用。中国对黄海和东海等海区的某些沉积物已进行过14C年龄的测定。

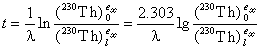
(230Th)法测年

溶解在海水中的238U衰变生成230Th,230Th主要通过离子交换吸附形式定向地向沉积物中迁移,由于230Th迁移能力大于 238U,造成沉积物中230Th的过剩(即沉积物中230Th的量超过与238U处于放射性平衡的量),这些过剩的230Th随时间衰变,因此可用来测定年代。其计年公式为

式中(230Th)ex0为表层沉积物中过剩的230Th(下角标0表示表层,上角标ex表示过剩);(230Th)exl为欲测层沉积物中过剩的230Th(下角标l表示欲测层)。

在一些贝壳、珊瑚礁样品中,230Th有时不足。这时年龄即可按230Th的积累法求得。

230Th法测的最大年限约为 40万年。该法曾用于太平洋印度洋沉积速率的测定。中国利用 230Th法测定过南海东北部大陆坡的沉积速率。

镤-(231Pa/230Th)法测年

231Pa和230Th的共同点是来源于同一个元素──铀,前者来源于235U,后者来源于238U。231Pa和230Th的化学性质相似,在海洋中具有近似的地球化学行为,垂直分布、沉淀机理和进入沉积物的形式都比较一致,因此即便当外界某种因素对其分布产生影响时,二者的比值仍近乎不变,这样更有利于精确的测年。 海洋中的231Pa和230Th主要是通过吸附途径一同进入沉积物,沉积后二者的比值即按指数规律衰减。该法计年公式为

231Pa/230Th法可测的最大年限约为 15万年。该法也曾用于太平洋及印度洋沉积速率的测定,与230Th法测得结果大体一致。

-钍(230Th/232Th)法测年

230Th和232Th沉积后,通过放射性衰变,230Th的量将逐渐减少,而232Th由于半衰期比230Th长得多,其量可视为基本上不变,这样借助沉积物中230Th/232Th比值随着深度的降低,即可得出沉积物的形成年代。鉴于有时某些物理化学因素可能引起230Th的变化,这时测年如单独地根据230Th的降低,就不如利用230Th/232Th比值的降低,因即便230Th偶尔波动而比值往往不受影响,从而避免测年出现较大误差。230Th/232Th法测年的计算公式为

式中λ230230Th的衰变常数;为表层沉积物中的比值;为欲测层沉积物中的比值;230Thu为沉积物中由 238U衰变生成的230Th(该项常可忽略不计)。

该法适于测定的最大年龄约为40万年。利用这种方法测定过北太平洋、南太平洋和大西洋的沉积速率,结果表明北太平洋的沉积速率比南太平洋的快,大西洋的沉积速率比太平洋的快,这与北太平洋和大西洋均有大量的陆源物质供应的基本地质事实相吻合。

镭(226Ra)法测年

226Ra在海洋沉积物中的分布有两种模式:第一种模式是 226Ra沿着沉积层自上而下一开始就呈连续的指数降低,这表示沉积一开始 226Ra就显著过剩,过剩的226Ra随时间而衰变,这样根据公式

即可计算出年代,可测的最大年限为6000年;第二种模式是镭曲线一开始先随深度而增加,继之达到最大值,之后随着深度而降低,这表示沉积一开始230Th的量就明显地大于226Ra的量,曲线上的最大值表示226Ra与230Th达到放射性平衡,之后226Ra曲线即按照230Th的半衰期呈指数规律减少,因而可按前述230Th法测年的公式进行年代的计算。

226Ra法测年在一些国家从 30年代至今屡有报道。中国已开始226Ra测年的研究,利用该法曾测得东海近岸区的平均沉积速率。

铅-210(210Pb)法测年

大气中的222Rn衰变生成210Pb, 它与大气沉降物一起进入海洋,此外海水中的226Ra也生成一部分210Pb,它们很快转入沉积物,于是海底沉积物中经常出现210Pb的过剩,过剩的210Pb在沉积层中的垂直分布遵循衰变定律,借此即可计年,计算公式与230Th法类同,即

210Pb法可测最大年龄为100年左右。该法于60年代初首次提出,然而发展很快。中国也已建立210Pb测年实验室,测定了渤海及东海等海域的沉积速率。

铍(10Be)法测年

大气圈上层宇宙射线与氧核相互作用形成10Be,随着降雨进入海洋,10Be与230Th一样主要通过吸附作用沉入海底,这样在正常情况下沉积物内10Be的垂直分布就取决于它的放射性衰变,利用测得表层的10Be及欲测层的10Be按照下列公式即可计算年代

由于10Be的半衰期较长(1.5×106年),故可用来测定上新世数百万年以来的年龄。该法曾用于测定太平洋的沉积速率,与230Th法、230Th/232Th法所获结果近似。

不平衡铀(234U/238U)法测年

海洋沉积物中的234U与238U常处于不平衡状态,即234U大于238U,过剩234U的衰变必然引起234U/238U比值的改变,根据234U与238U之间放射性平衡恢复的程度即可计算年龄:

式中λ234234U的衰变常数,测年范围约为10~100万年。该法曾用于测定深海褐色粘土的年龄及沉积速率。

钾-氩(40K/40Ar)法测年

沉积物含钾矿物中放射性同位素40K以k层电子俘获的形式可转变为40Ar,它同样服从于放射性衰变定律。因40K有两种衰变过程,一是k层电子俘获,一是β衰变生成40Ca,相应的衰变常数分别为λв和λβ,因此,40K的衰变常数λ=λв+λβ,其测年公式为

该法最早只是应用于古老地层的测年,近年由于测试技术的提高,特别是使用快中子活化法测定40Ar/39Ar,可使测年的最小年限缩短至2500年。该法曾用于北太平洋第三纪沉积物年龄及沉积速率的测定。

除了上述的方法外,用于沉积物测年的还有-铀 (230Th/234U)法、镤-铀(231Pa/235U)法、铀-氦(238U/4He)法、硅-32(32Si)法、铝-26(26Al)法等(见表)。 此外还有间接的测年法,如古地磁法、氨基酸法等。还有一些方法正在探索中。

图

必须指出的是,每种方法都有其局限性,如 14C法虽比较成熟,但用于测年的样品必须含有足够量的碳;231Pa/230Th法虽精确,但231Pa的测定比较困难;210Pb法虽已广泛应用,但对沉积速率缓慢、粒度粗的沉积物无法测定;40K/40Ar法虽已用来测定较年轻的沉积物,但需要先进的中子活化测试技术,而且多限于含钾高(>1%)的火山沉积物样品;另外每种方法都有其一定的测年范围,超出其范围的自然就无法测定。鉴于这些方法各有长短,测年时最好选择几种方法同时测定,综合分析,从而得出比较准确的年代。

参考书目
  1. G.Faure,Principles of Isotope Geology,JohnWiley &Sons,New York,1977.
  2. Ю.В.库兹涅佐夫著,夏明等译:《海洋放射年代学》,科学出版社,北京,1981。