[拼音]:fama jiaozheng
[外文]:calibration of weights
砝码是质量单位的体现,它具有确定的质量,用来衡量物体的质量,并检定各种天平和衡器,因此需要定期校正。
质量的单位在国际单位制中,质量的基本单位是千克。1889年第一届国际计量会议上确认其量值等于国际千克原器的质量。国际千克原器是用90%铂和10%铱所组成的合金制作,是直径和高各为39毫米的圆柱体,它保存在法国巴黎的国际计量局内。1959年中国确定以公制作为计量制度后,在1965年引进两个千克质量单位的基准器,建立国家质量传递系统,确保砝码的质量由国家基准器逐级传递下去。
砝码组进行质量计量,必须有一套质量不同又能组成任何量值的砝码,这套砝码叫砝码组。砝码组合是以最小个数的砝码能组成任何量值为原则。常用的组合形式为:1、1、2、5;1、2、2、5;1、2、3、5。制作砝码的材料有铜合金、非磁性不锈钢、铝合金等。砝码的形状有块状、片状、环状、棒状等。克组砝码一般有质量调整腔,供校正砝码时调整砝码质量用。
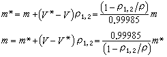
砝码的质量值一等砝码采用真空质量值,二至五等砝码一律采用折算质量值。实际的砝码与材料密度为8.0克/厘米3的假想砝码在空气密度为 0.0012克/厘米3的条件下相互平衡时,后者的真空质量值就是前者的折算质量值,其中 8.0克/厘米3称为砝码的约定密度。由此得出砝码的折算质量值m*与真空质量值m 之间的折算关系为:
式中ρ 是砝码的材料密度(克/厘米3);ρ1,2是约定的标准空气密度,为0.0012克/厘米3;V 是砝码实际具有的体积(厘米3);V* 是砝码材料按统一约定密度计算出的体积(厘米3)。
砝码的质量值采用折算质量值是质量计量上的重大改进。中国在1972年颁布的《砝码检定规程》中开始采用。采用此值后,无须再对不同材料的砝码作空气浮力修正,因此使砝码检定的过程简化,也消除了用不同材料的砝码衡量同一物体时产生的误差。
砝码的精密等级砝码按质量误差的大小分为五等。一等砝码精度最高,质量误差最小,在计量部门用来检定砝码。化学天平使用二等和三等砝码,它们的质量允差如表1所示。
表中检定精度是指砝码检定和校正时控制的精度。使用中的砝码以符合质量允差为标准,质量允差是检定和校正砝码的依据。
砝码的检定和校正把被检定的砝码当作被衡量的物体与作为质量单位的砝码相比较,借以确定被检定砝码中含有该质量单位的若干倍数或分数,这个过程叫砝码检定。一等砝码和工作基准砝码在相应精度的天平上进行组合比较检定。二等以下砝码可与高一等标称值相同的标准砝码进行单个比较直接检定。
化学天平使用的二等或三等砝码,经检定合格后只发给合格证书,不给出各个砝码的质量值。砝码经过长期使用后,由于各种原因引起其质量值的变化,使用者有必要定期对砝码重新进行检定和校正。
检定砝码必须有一台较好的天平,其灵敏度应能满足检定砝码中最小的质量允差。此外还必须有一副作为标准用的砝码,该砝码与被检砝码名义值一一对应并应给出精确的质量值,供求算被检砝码的质量值用。被检砝码的表观质量必须符合要求(如镀层表面不得有脱层、露底等缺陷),检定前还应经过仔细清理。检定砝码应采用精密衡量法,以消除天平存在的系统误差。单个砝码的检定可用替代衡量法、交换衡量法或连续替代法。
(1)替代衡量法:将被检砝码 A置于天平的一个盘内,在另一盘内以相当的重物T平衡(通常可用另一副砝码中名义质量相同的一只砝码),开启天平读取平衡点(摇摆天平记下连续四个回转点读数,阻尼天平记下两次静止读数)后,关住天平。取下被检砝码A,换上标准砝码B,开启天平,读取平衡点,若天平失去平衡,可以添加小码a使其恢复平衡。测定此载荷下天平的分度值,即在天平的任一盘中放上一个标准小砝码r,读取平衡点,按公式计算分度值。对于固定分度值的天平,空载和重载时的分度值是固定的,这一项可省略。测定结果记入表2。再按以下公式计算被检砝码的质量值:
平衡位置 
分度值 S=L
砝码质量值 A=B±(LA-LB)S±a(LA-LB)S前的 “+”“-”号的取法要看标牌零点的位置和被检砝码放在哪个盘子决定,a前的符号由小砝码放置的位置决定。
(2)连续替代法:此法是将名义质量与被检砝码一一对应的一组标准砝码先全部放置在一个称盘上,另一盘中以重物平衡,然后用被检砝码按名义质量大小顺序逐个进行替代衡量,记录每个砝码的平衡点,直至盘中标准砝码全部被检定砝码替代为止。此法适用于全机械加砝码天平,因为这类天平的砝码应悬挂在砝码架上检定。
检定后如发现砝码质量值超出规定质量允差,应进行校正。无质量调整腔的整体砝码的正误差超差时,可通过修磨棱边或自由末端进行调整;负误差超差的作降级或报废处理。具有调整腔的砝码可以打开调整腔,增减腔内添加物,使之达到规定质量。所用材料最好是砝码原材料,或与砝码材料密度相近似的、物理和化学性质稳定的非磁性材料,不得用铅或铅锡合金。校正后的砝码需再作检定。