辏力场

又称有心力场。对场中任意位置上的质点的作用力恒通过场中某一固定点的力场。此固定点称为该辏力场的力心。指向力心的场力称为引力;背向力心的场力称为斥力。

辏力场是物理学中极为重要的力场。质点和密度分布是点至球心距离的函数的球体所产生的万有引力场,就是它的最常见的特例。在辏力场中,质点只受到通过力心的场力的作用,因而质点对力心的角动量守恒(见角动量守恒定律),质点被限制在它的初速度矢量和力心所构成的平面内运动,且以力心为原点的矢径在单位时间内扫过的面积为常数,即面积速度为常数,它等于质点初始时刻对力心的角动量 Lo的一半。

如辏力场的场力的大小只依赖于质点至力心的距离r,而和质点在力场中的方位无关,即场力式中r为单位矢量,这样的辏力场必为保守力场(见保守力),因而具有势能V(r)。质量为m的质点以速度v在这样的力场中运动时,质点的机械能守恒,即

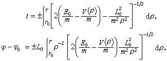
式中Eo是质点在初始时刻所具有的总机械能。如以力心为极坐标的极点,则质点在这种力场中运动时,它在任意时刻t的位置(r)满足

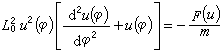
式中roo为质点在初始时刻的位置。它的轨道方程r()的倒数u()=1/r()满足微分方程

在力心质量为M的万有引力场中,一个质量为m的物体所受的引力为,式中B为引力常数。该物体在此力场中的轨道方程为

式中Pδ都是常数,而

称为轨道的偏心率。初始能量Eo<0、Eo=0、Eo>0, 分别对应于偏心率e<1、e=1、e>1,即对应于轨道为椭圆、抛物线和双曲线的情况。在太阳系中,行星运动轨道的e<1,彗星则还有e塼1或e揥1。上式中的M就是太阳的质量,m是行星或彗星的质量。

参考书目
  1. 罗远祥等著:《理论力学》,下册,第3版,人民教育出版社,北京,1982。
  2. 聂夫兹格里雅多夫著,黄念宁译:《理论力学》,人民教育出版社,北京,1964。