[拼音]:sihuansu
[外文]:tetracycline
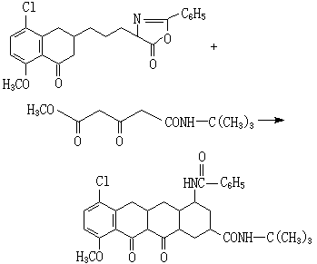
一种抗生素,分子式C22H24N2O8。具有由四个六元碳环,呈线状并合的结构特征。四环素与同类的土霉素、金霉素、去甲金霉素皆可由土壤微生物金色链霉菌或其变种发酵生产。四环素对革兰氏阳性和阴性菌皆有抑制作用,还能抑制立克次氏体和沙眼病毒等。四环素类的合成方法很多,如下述反应可一步形成四个环系:
20世纪60年代发展的若干半合成的四环素,例如强力霉素,能良好吸收并较慢排出,每天只须服用一次或两次。胺基四环素也有良好吸收和缓慢排出的性能,并对某些抗其他四环素类的菌株有效。