晶体光学

研究光在单晶体中传播及其伴生现象的分支学科。立方晶体中光的传播是各向同性的,与均匀非晶体没有差别。在其他六个晶系的晶体中,光的传播的共同特点是各向异性。因此晶体光学研究的对象实质上是各向异性光学媒质,包括液晶在内。

各向异性光学媒质中光的传播情况,可由麦克斯韦方程组和表征物质各向异性的物质方程联立求解得到。通常讨论平面波情况,所得到的解析式一般较为复杂。当不考虑晶体的吸收和旋光性时,实用上多采用几何作图法求解,以折射率椭球、光波面两种曲面较常使用(见下文讨论)。

晶体光学研究常用的实验仪器是折射计、光学测角仪、偏光显微镜和分光光度计等。

晶体光学在晶体定向、矿物鉴定、晶体结构以及其他晶体光学现象(如非线性效应、光散射)的工作与研究中有重要应用。晶体光学元件,如各种起偏棱镜、补偿器等(见线偏振光、偏振光的干涉),则广泛应用于各种光学仪器和实验中。

光波的相速度和光线速度

单色平面光波波阵面沿其法线方向传播的速度称为光波的相速度。光波的能量传播速度称为光线速度。人们眼睛观察到的光线传播方向就是光线速度方向。

对于非磁性单晶,平面光波的相速度在垂直于电位移D磁场强度H的方向上,而光波的能量传播方向垂直于H和电场强度E。各向异性光学媒质的介电常数是一个二阶张量,DE一般不平行,所以相速度v和光线速度vr的方向一般也不一致,其间的夹角α称为离散角,它是相速度(或光线速度)的方向和D(或E)的方向的函数(图1)。相速度和光线速度的数值一般也不相等,两者间的关系为

vvrcosα

图1

光在真空中的传播速度 с与它在各向异性光学媒质中某方向的相速度v之比

称为该方向的折射率,类似地,с与某方向的光线速度之比nr=с/vr,称为该方向的光线折射率。

双折射

双折射现象发现于1669年。当一平面光波从真空或从一媒质射入各向异性光学媒质时,一般会产生两个折射平面波,分别以相速度v'和v″传播。光线速度相应为v惤和v惥,这就是双折射。

θi表示入射单色平面光波的入射角,θ惤和θ惥表示两折射波的折射角,v表示入射波的相速度,则两折射光的波矢均位于入射面内,且有

即每一个折射波都遵从折射定律。但是现在v┡和v″分别依赖于θ惤和θ惥,并且两折射光线不一定在入射面内。这些都与各向同性光学媒质不同。

在正入射的特殊情况,θi=0,所以θ惤=θ惥=0,但v┡和v″并不相等,因此一般仍有两束折射光。

光轴与光线轴

在非旋光性光学媒质中,给定一波矢方向k,一般只允许D振动平行于两个特定方向D┡和D″的单色平面波传播,它们有着不同的相速度和β值。D┡和D″为互相正交的单位矢量,并且都是k的函数,这就是晶体对光波传播的起偏作用(见本条折射率椭球节及图2)。但是存在某些特殊方向,单色平面波沿这些方向传播时,其D振动可在波阵面上取任意方向而相速度相同,这些方向称为各向异性光学媒质的光轴。

图2

完全相似,当给定光线方向t时,一般只允许E振动平行于两特定方向E┡和E″的单色光线传播,它们有着不同的光线速度;相应的相速度也不相同。E┡和E″也互相正交,并且都是t的函数。但是存在某些特殊方向,单色光线沿这些方向传播时,其E振动可在垂直于t的平面上取任意方向而光线速度相同,这些方向称为各向异性光学媒质的光线轴。

单轴晶体

只有一个光轴的晶体叫单轴晶体。属于三角晶系、四方晶系和六角晶系的晶体是单轴晶体。它们的光轴分别为三重、四重和六重对称轴,单轴晶体也只有一个光线轴,且与光轴重合,因此光波沿单轴晶体光轴方向传播时,相速度和光线速度相同,偏振化完全解除。

有些单轴晶体对于D平行和垂直于光轴的两种线偏振光的吸收不同,因此透射光分别呈现不同的特征颜色。这种性质称作晶体的二向色性或二色性。二向色性强烈的光学媒质可以做起偏器。

单轴晶体的介电张量在以光轴为z 轴的直角坐标系中取对角形式,并且x、y两分量相等,所以x、y 轴可任意选取。因此单轴晶体的光学性质具有旋转对称性。这是符合下述一般原则的:晶体性质的对称性不低于晶体所属晶系的对称性。

双轴晶体

具有两个光轴的晶体叫双轴晶体。属于正交晶系、单斜晶系和三斜晶系的晶体都是双轴晶体。光轴位于极大相速度方向和极小相速度方向所决定的平面内。双轴晶体也有两个光线轴,不与光轴重合,但与两光轴在同一平面内。光线轴与光轴间夹角很小,不超过2゜。两光轴间的锐夹角称为光轴角。

选择两光轴的锐夹角平分线和钝夹角平分线作为直角坐标系的两个坐标轴,则介电张量取对角形式,此坐标系的三个坐标轴称为晶体的三个主轴。相应的介电常数ε1ε2ε3称为晶体的主介电常数。

有些晶体,对于D分别平行于三个主轴的三种线偏振光的吸收各不相同,因此透射光呈现不同的特征颜色,这种性质称作晶体的三向色性或三色性。例如角闪石就有三向色性。二向色性和三向色性统称多色性。

将特定取向的单轴或双轴晶片置于两正交偏光棱镜之间,用一短焦距透镜将来自起偏棱镜的单色平行光束聚焦在晶片面上,能得到一些特征干涉图,可作为单轴或双轴晶体的判据(见偏振光的干涉)。

折射率椭球

折射率椭球是晶体光学几何表示法中最常采用的三维曲面,也叫做波法线椭球或光率体,其方程为

椭球的三个半轴长度 n1n2n3称为晶体的三个主折射率: εi为相应的介电常数。

要知道沿k方向传播的单色平面波的偏振方向和速度可过椭球原点作一垂直于k的平面,在椭球上截出一椭圆,此椭圆的两主轴方向就是k方向允许传播的两平面偏振波的电位移方向,两主轴的半轴长度即是相应平面偏振波的折射率n┡和n″(图2)。

对于立方晶体,n1=n2=n3=n,椭球退化为圆球,光的传播是各向同性的。

对于单轴晶体,n1=n2=n0n3=ne椭球退化为旋转椭球,光轴为旋转轴。过原点的平面截旋转椭球得到的椭圆的主轴总有一个垂直于光轴,其半轴长度为n0。它所对应的光波,D垂直于光轴,且相速度不依赖于传播方向,称为寻常光。n0称为寻常光折射率;椭圆的另一个主轴的半轴长度n依赖于光波波矢与光轴的夹角θ,称为非常光折射率,可表示为

相应的光波称为非常光。n0<ne的称为正单轴晶体,n0>ne的称为负单轴晶体。

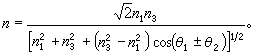
对于双轴晶体,如果n1<n2<n3,则二光轴处在xz平面内,且关于z 轴对称,与z轴的夹角v可由下式给出

如果知道光波传播方向与两光轴的夹角θ1θ2,则相应的两个折射率为

已知波矢和D的方向,可以用作图法由折射率椭球求出光线方向(图3)。过波矢方向和D作一平面,在折射率椭球上截出一个椭圆,D与此椭圆交点处的椭圆法线方向就是E的方向。光线方向t也在此平面内,并垂直于E

图3

折射率椭球的对称轴也是晶体的三个主轴,它们与晶轴间的相对关系称为折射率椭球在晶体中的光性方位。单轴晶体的光性方位很简单,最高重对称轴为旋转椭球的旋转对称轴。正交晶系晶体的三个互相正交的二重轴就是折射率椭球的三个对称轴,但每一个晶轴可以是n1n2n3所对应的轴,所以共有六种可能的光性方位。单斜晶系的二重轴或对称面的法向是折射率椭球的一个对称轴,但可以对应于三个主折射率中的任何一个,所以共有三种可能的光性方位。三斜晶系晶体的三个晶轴都与折射率椭球的三个对称轴斜交。

折射率椭球的形状和方位都可随光波波长变化,称为折射率椭球的色散。立方晶体的折射率椭球的色散就是球的半径随波长变化。单轴晶体的光轴方向不随波长改变,但n0ne可以是波长的不同函数。双轴晶体的折射率椭球色散因晶系而异。正交晶系晶体的折射率椭球对称方向不随波长改变,而三个主折射率可以是波长的不同函数。单斜晶系晶体沿二重轴或对称面法向的那个主轴的方向不随波长变化,另两个椭球对称轴方向和三个主折射率都随波长改变。三斜晶系晶体的三个主轴方向和主折射率都随光波波长变化。

光线面

又称光波面,对于各向异性光学媒质,它是一个四次双叶曲面(单轴晶体情况见图4)。当光线沿某一方向传播时,由光线面上平行于该方向的两个矢径的长度乘以真空光速,即得到该方向的两个光线速度。当给定光线速度时,通过光线面上相应矢径的端点作光线面的法线,它就是与该光线对应的波矢方向。

图4 图5

光线面对确定晶体的折射光线方向起着重要的作用。各向异性光学媒质中的惠更斯次波即是与光线面相似的曲面。惠更斯次波的包络面就是光波的波阵面。具体作图方法见图5。BD下方为晶体,设光线由E传播至B需时间t,图中两曲面就是以vrt为矢径作得的光线面的相似曲面,DF和DG就是两折射线方向,DH是光线DG对应的波矢方向。晶体光学几何作图法中引入的其他三维曲面较少应用,不再介绍。

旋光晶体

对于具有旋光性的晶体,除非在非常接近光轴方向,晶体的旋光性总是叠加于通常的双折射上,如同一个微扰,所有有关非旋光性晶体的晶体光学结论只需加上旋光性修正就可用于旋光晶体。在旋光性单轴或双轴晶体中,任意给定一个不沿着光轴的波矢方向,则有且只有两个确定的椭圆偏振光波通过晶体时偏振态不发生改变,两椭圆的长短轴之比相同,但D旋转的方向相反,且两椭圆的长轴分别在由折射率椭球所确定的两个D的振动方向。由于椭圆长短轴相差悬殊,实际上非常接近平面偏振光。除了4mm, 嬄3m,3m,6mm, 勎, 勎m2以外的其他15个非中心对称类晶体可能具有旋光性。

参考书目
  1. M.玻恩、E.沃耳夫著,黄乐天等译:《光学原理》,下册,第14章,科学出版社,北京,1981。(M.Born,E.Wolf,Principles of Optics,5th ed.,Chap.14,Pergamon Press, Oxford, 1975.)

参考文章