[拼音]:jifen
[外文]:integral
定积分(黎曼积分)与不定积分的统称;它们作为对函数的运算,是求导(函)数和微分运算的逆运算。定义在一个区间内的某个函数ƒ(x)的不定积分是以ƒ(x)为其导函数的所有函数,即所谓“原函数”。其一般表达式是F(x)+C,其中F(x)是ƒ(x)的任何一个原函数,而C是任意常数(称为积分常数),记为
。
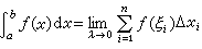
函数ƒ(x)在区间[α,b]上的定积分,是一个特殊形式的有限和,即所谓“黎曼和”的极限:
,
式中
(x0=α,xn=b);λ为最大的Δxi;ξi为小区间Δxi上的任一点。
这里所说的函数都是有穷区间上的有界函数。对区间有穷与函数有界两个方面加以推广,作为定积分之极限的广义积分,有无穷积分和瑕积分。当积分中被积函数含有一个参变量时,其值便成为这个参变量的函数,而积分本身便成为这个函数的一个分析表达式,称为参变积分(见积分学)。
这些积分概念都推广到了多元函数(见多元微积分学),更进一步的推广是实变函数论中的勒贝格积分。