[拼音]:kuozhan X shexian xishou jingxi jiegoupu
[外文]:extended X-ray absorption fine structure
物质(除单原子气体外)的 X射线吸收限的高能方向, 对应光电子能量 Ek约在30~1000电子伏范围内,X射线吸收系数的振荡结构称为扩展X射线吸收精细结构谱。其典型例子如图所示。图中光电子能量为0处相当于K吸收限位置。
在物质中,原子吸收X 射线产生光电子波,此光电子波又被邻近原子散射。出射波与散射波相干涉,因此光电子波的末态波函数发生变化,并使吸收过程中的跃迁几率发生变化,从而产生扩展X 射线吸收精细结构谱。
1931年R. del克朗尼格首先对扩展X射线K吸收精细结构谱用晶体的长程序理论进行了计算。以后他又提出了短程序理论。短程序理论经不断改进,到1970年E.A.斯特恩等应用短程序理论(单电子,单次散射近似)计算K吸收谱(也适用于L1吸收谱),得到了较好的结果。
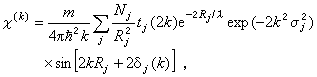
计算得到的扩展X 射线吸收精细结构谱为
式中m是电子的质量,啚=h/2π,h是普朗克常数,k是光电子波矢,Nj是第j层配位球壳上的原子数,Rj是吸收原子至第j层原子的平均径向距离,tj(2k)是第j层原子的背散射振幅,λ是电子的平均自由程,σ嵂是德拜—瓦勒因子,δj(k)是吸收原子与背散射原子的势能引起的相移。
应用以上结果,由实验测定的X(k)经傅里叶变换及有关计算可得到物质中每一类组成原子的径向结构函数,从而给出吸收原子与邻近原子间的距离、近邻原子数等结构数据。比较不同温度下的测量结果还可获得德拜—瓦勒因子。
近年来由于强辐射源的出现以及相应实验技术的改进,扩展X 射线吸收精细结构谱已经成为研究复杂晶体、非晶态、生物大分子,以及催化剂等材料结构等的较好方法。
近年发展起来的尚有表面扩展X射线吸收精细结构谱,电子能量损失谱等。其原理与X 射线吸收精细结构谱相类似。
- 参考书目
- 陈玉、王文采、嵇益民:《物理》,第13卷,第6期,第350页,1984。
- 陆坤权、赵雅琴、常龙存:《物理学报》,第33卷,第1693页,1984。