[拼音]:Gai’er-Man-Xidao faze
[外文]:Gell-Mann-Nishijima rule
联系强子的电荷、同位旋和奇异数的法则。20世纪50年代以前,人们所熟知的强子是电荷双重态的核子(质子p和中子n)和电荷三重态的π介子(π+、πo和π-)。一个电荷多重态内不同成员具有不同的电荷,但质量很接近,强相互作用性质密切相关。对此,人们引入同位旋的概念加以描述。一个多重态内的粒子具有相同的总同位旋量子数I和不同的同位旋投影量子数I3。这时,粒子的电荷和同位旋投影I3之间存在一定的关系,可由下式来概括
, (1)
其中N为重子数。对于核子N=1(反核子N=-1),π介子N=0。
在发现奇异粒子之后,M.盖耳-曼与西岛和彦提出,上面的关系式应作适当改变以便把奇异粒子包括进去。
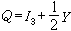
, (2)
式中Y是超荷算符
Y=N+S
N为重子数,S为奇异数。反粒子同相应的粒子有相同的I,而I3、N、S都相反(因而Y和Q也相反)。
1974年以后,粒子物理中又陆续发现了新的强相互作用守恒量子数──粲数(c和底数(B)。相应地, 盖耳-曼-西岛公式(2)也要作进一步的扩充
。 (4)
按照强子结构的夸克模型,强子的各种强相互作用守恒量子数,包括同位旋、重子数、奇异数、粲数以及底数等,都由所组成的夸克的量子数决定。现已“发现”的夸克有五种(不考虑色自由度)这就是上夸克u、下夸克d(它们组成基本的同位旋双重态)、奇异夸克s、粲夸克c和底夸克b。很多理论还预言至少存在一种更新的顶夸克t,相应于一个更新的量子数──顶数T,并且实验上已观察到 t夸克存在的迹象。夸克的各种量子数如表所示。夸克的重子数为1/3。反夸克与夸克有相同的I,相反的N、I3、S、C、B、T和Q。