[拼音]:fenbufa
[外文]:method of fractional steps
把复杂的问题的每个时间步分解成若干个中间步,例如把多维问题按坐标分解成几个一维问题,然后用差分法解这些比较简单的各中间步,最后得到原始问题的近似解,这类方法叫作分步法。交替方向隐式法、预测校正法、局部一维方法、时间分裂法等都属此类。
1955年D.W.毕斯曼与H.H.瑞契福特在(x,y)平面上用交替方向隐式法(简称ADI方法),解二维热传导问题
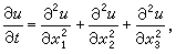
(1)
时,对
与
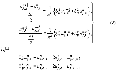
进行不同处理,一个取成显式(显式差分方法),一个取成隐式(隐式差分方法),并依次交替以保持对称性。取Δx=Δy=h时,可得出如下格式
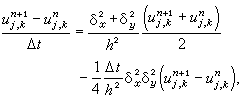
格式(2)用了两步合成一个循环,一般称之为P-R格式。由于P-R格式交替地沿各个空间方向作一维隐式计算,也称为交替方向隐式法,(2)的每个方程组都是系数矩阵为三对直线矩阵的线性方程组,容易求解,从(2)中消去
经整理可得
把方程(1)的光滑解代入上式,其截断误差为O(h2+Δt2),这表明P-R格式具有二阶精度。格式(2)的增长因子是
式中
(j=1,2)。由于λ对任何
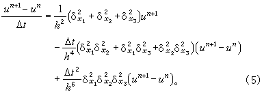
都有│λ│≤1 因此P-R格式(2)是无条件稳定的。P-R格式不宜向三维问题推广,J.道格拉斯和瑞契福特又提出了一种三维问题的交替方向隐式法,也称D-R方法。考虑三维热传导方程
(3)
取空间步长
D-R方法就是
(4)
在(4)中消去
,
,可得等价格式
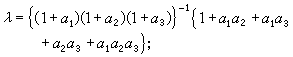
这可说明(4)与微分方程(3)相容,(5)的增长因子是
式中
(j=1,2,3)。对于一切
,│λ│≤1,因此 D-R格式(4)是无条件稳定的。交替方向隐式格式除上述两种外,还有其他各种变形格式,ADI方法从un计算un+1要分几步完成,中间要计算
或
,
等。
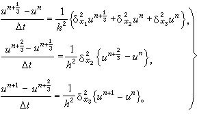
对于热传导方程(3),H.H.亚年科1959年还提出了更简单的格式
(6)
消去
,
之后,得等价格式
展开成Δt的幂次式,得
这说明(6)与微分方程(3)相容,(6)的增长因子是
所以对于一切
,它是稳定的。通常称(6)是局部一维方法,它也是一种分步方法。上述方法的另一特点是把差分算子分解成为较简单的差分算子的积,因而又称算子分解法。