[拼音]:Laka fuhao
[外文]:Racah’s symbols
描述原子能级的一种符号。1942年G.喇卡首先用以表示Ne原子能级,现在已普遍用以描述惰性气体的能级。喇卡符号所表示的耦合方式称Jl耦合法,它不同于处理其他原子所用的LS 耦合和jj 耦合法。
Jl耦合法以
表示离子(一次电离离子)的基电子组态,a是价电子的数目,n'和l'是价电子的主量子数和轨道角动量量子数。以
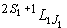
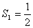
表示离子基电子组态中的一个能级。其中S1、L1和J1分别表示离子的总自旋量子数、总轨道角动量量子数和总角动量量子数。那么
便是原子的一个电子组态。其中nl表示激发电子,n和l分别是它的主量子数和轨道角动量量子数。
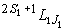
(
)nl,或简写为(
)nl。Jl耦合法的要点是,先由J1、l耦合成K,再由K、s耦合成J(原子的总角动量量子数),其中s是附加电子的自旋量子数。 于是就得到能级nl[K]J或nl[K]恱,前者是偶态,后者是奇态(见原子的量子理论)。
通常用J1l耦合法处理Ne原子(以及Ar、Kr和Xe等原子)的能级。例如,处理Ne原子
电子组态的能级,
是Ne离子基电子组态2p5的能级(2p5的基光谱项
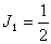
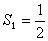
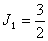
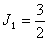
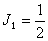
有两个能级
和
),3s是附加电子。于是有L1=1,
,l=0,
和
。从此可算出K
,J=0,1。这样,就得到了
能级的喇卡表示,
和
。3s 右上角加“'”是专指l与
的耦合。又例如,处理Ne原子
电子组态的能级,与上例相似,这里L1=1,
,l=0,
和
。求得K
,J=2,1。这样,就得到
能级的喇卡表示,
和
。l与
耦合时3s右上角不加“'”。处理 Ne原子
的方法,完全与上述相同。
喇卡符号的表示法可归纳如下:
(1)左上方先写上激发电子(即附加电子)态的符号(nl)。
(2)如果属于J1=L1-S1的情况,还须在附加电子态符号(l)的右上角加一撇“'”。
(3)右方接着一个方括号,里面写量子数K的数值。
(4)在上述方括号的右下角写上量子数 J的数值。
(5)如果是奇态,还须在方括号的右上角加“O”。
(6)J1l耦合时跃迁的选择定则是
帕邢符号是一种表示原子能级的纯粹符号,有时也用它来表示Ne原子的能级。可把表示Ne原子能级的喇卡符号、帕邢符号和 LS 耦合间的对应关系列于上页表。Ar、Kr和Xe等原子的基电子组态分别是3p6、4p6和5p6,与Ne的基电子组态完全相似,因此也可用相应的喇卡符号和帕邢符号表示它们的能级。
- 参考书目
- I. I. Sobelman, Atomic Spectra and Radiative Transitions, Springer-Verlag, Berlin,1979.