[拼音]:zixuan guidao xianghu zuoyong
[外文]:spin-orbit interaction
原子内价电子的自旋磁矩与电子轨道运动所产生的磁场间的相互作用,是磁相互作用。这种作用能通常比电子与电子之间的静电库仑能小(在LS 耦合的情况下),因此是产生原子能级精细结构即多重分裂(包括双重分裂)的原因(见原子光谱的精细结构)。
1925年G.E.乌伦贝克和S.A.古兹密特为解释光谱线的双线现象,引入了自旋和自旋磁矩的假设;1926年L.H.托马斯利用电子自旋磁矩与轨道磁场的作用进行计算,解释了氢和碱金属原子能级的分裂;1928年P.A.M.狄喇克提出符合狭义相对论要求的电子运动的量子力学方程,即狄喇克方程,成功地得出了电子的自旋和磁矩;在有心力场中,电子的狄喇克方程可用于氢原子而直接得到能级的双重分裂,和托马斯的结果完全一致,可见电子自旋运动是电子运动的相对论性效应。
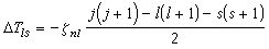
电子自旋对轨道磁场有两个取向,导致了能级的双重分裂,这就是碱金属原子能级双重结构的由来(见碱金属原子光谱)。由计算得知,碱金属原子能级双重结构的间距(以波数计)为
式中的s和j是电子的自旋量子数和总角动量量子数;
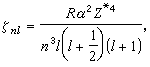
为
式中,Z
为有效核电荷数,α是精细结构常数,n和l是主量子数和电子的轨道角动量量子数,R是相应的里德伯常数。
称为单个电子的分裂因子。可以看出,一个原子的双重能级的间距取决于主量子数和轨道角动量量子数。
多个价电子原子(包括两个价电子的原子)的自旋轨道相互作用见LS 耦合和jj 耦合。